1.12 ノルム

定義 1.65 (ノルム)   ベクトル $ \vec{a}\in\mathbb{R}^{n}$ に対して,

$\displaystyle \Vert\vec{a}\Vert=\sqrt{\vec{a}\cdot\vec{a}}= \sqrt{\sum_{k=1}^{n}a_{k}^2}$ (72)

をベクトル $ \vec{a}$ノルム(norm)または 長さ(length)という. また, ベクトル $ \vec{a}\in\mathbb{C}^{n}$ に対しては

$\displaystyle \Vert\vec{a}\Vert=\sqrt{\vec{a}\cdot\vec{a}}= \sqrt{\sum_{k=1}^{n}a_{k}\overline{a_k}}= \sqrt{\sum_{k=1}^{n}\vert a_{k}\vert^2}$ (73)

と定義する.

1.66 (ノルムの具体例)   ベクトル

$\displaystyle \vec{a}= \begin{bmatrix}1 \\ 1 \end{bmatrix}\,,\quad \vec{b}= \begin{bmatrix}2 \\ -1 \end{bmatrix} \in\mathbb{R}^{2}$ (74)

のノルムはそれぞれ

$\displaystyle \Vert\vec{a}\Vert$ $\displaystyle = \sqrt{\vec{a}\cdot\vec{a}}= \sqrt{1\times1+1\times1}=\sqrt{2}\,,$ (75)
$\displaystyle \Vert\vec{b}\Vert$ $\displaystyle = \sqrt{\vec{b}\cdot\vec{b}}= \sqrt{2\times2+(-1)\times(-1)}=\sqrt{5}$ (76)

である.

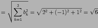
1.67 (ノルムの具体例)   ベクトル

$\displaystyle \vec{a}= \begin{bmatrix}1 \\ 1 \\ 1 \end{bmatrix}\,,\quad \vec{b}= \begin{bmatrix}2 \\ -1 \\ 1 \end{bmatrix} \in\mathbb{R}^{3}$ (77)

のノルムはそれぞれ

$\displaystyle \Vert\vec{a}\Vert$ $\displaystyle = \sqrt{\sum_{k=1}^{3}a_{k}^2}= \sqrt{1^2+1^2+1^2}=\sqrt{3}\,,$ (78)
$\displaystyle \Vert\vec{b}\Vert$ $\displaystyle = \sqrt{\sum_{k=1}^{3}b_{k}^2}= \sqrt{2^2+(-1)^2+1^2}=\sqrt{6}$ (79)

である.

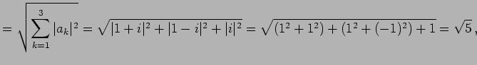
1.68 (ノルムの具体例)   ベクトル

$\displaystyle \vec{a}= \begin{bmatrix}1+i \\ 1-i \\ i \end{bmatrix}\,,\quad \vec{b}= \begin{bmatrix}2-2i \\ -1 \\ -i \end{bmatrix} \in\mathbb{C}^{3}$ (80)

のノルムはそれぞれ

$\displaystyle \Vert\vec{a}\Vert$ $\displaystyle = \sqrt{\sum_{k=1}^{3}\vert a_{k}\vert^2}= \sqrt{\vert 1+i\vert^2+\vert 1-i\vert^2+\vert i\vert^2}= \sqrt{(1^2+1^2)+(1^2+(-1)^2)+1}= \sqrt{5}\,,$ (81)
$\displaystyle \Vert\vec{b}\Vert$ $\displaystyle = \sqrt{\sum_{k=1}^{3}\vert b_{k}\vert^2}= \sqrt{\vert 2-2i\vert^2+\vert-1\vert^2+\vert-i\vert^2}= \sqrt{(2^2+(-2)^2)+1+1}= \sqrt{10}$ (82)

である.

定理 1.69 (ノルムの性質)   シュバルツの不等式(Schwartz' inequality)

$\displaystyle \vert\vec{a}\cdot\vec{b}\vert\leq \Vert\vec{a}\Vert\Vert\vec{b}\Vert\,,\quad \vec{a},\vec{b}\in\mathbb{R}^{n}$ (83)

三角不等式(triangle inequality???)

$\displaystyle \Vert\vec{a}+\vec{b}\Vert\leq \Vert\vec{a}\Vert+\Vert\vec{b}\Vert\,,\quad \vec{a},\vec{b}\in\mathbb{R}^{n}$ (84)

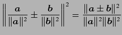
1.70 (ノルムの性質)   次の関係式を示せ.
    (1)   $ \Vert\vec{a}-\vec{b}\Vert^2+\Vert\vec{a}+\vec{b}\Vert^2=
2(\Vert\vec{a}\Vert^2+\Vert\vec{b}\Vert^2)$
    (2)   $ (\vec{a}-\vec{b})\cdot(\vec{a}+\vec{b})=
\Vert\vec{a}\Vert^2-\Vert\vec{b}\Vert^2$
    (3)   $ \Vert\vec{a}\pm\vec{b}\Vert^2=
\Vert\vec{a}\Vert^2+\Vert\vec{b}\Vert^2\pm 2\vec{a}\cdot\vec{b}$
    (4)   $ \displaystyle{\left\Vert
\frac{\vec{a}}{\Vert\vec{a}\Vert^2}\pm
\frac{\vec{b}}...
...=
\frac{\Vert\vec{a}\pm\vec{b}\Vert^2}{\Vert\vec{a}\Vert^2\Vert\vec{b}\Vert^2}}$

Kondo Koichi KONDO Koichi
平成19年1月25日