1.21 スカラー三重積と平行六面体の体積

1.95 (スカラー三重積)   すべての $ \mathbb{R}^3$ のベクトル $ \vec{a}$, $ \vec{b}$, $ \vec{c}$ に対して

$\displaystyle (\vec{a}\times\vec{b})\cdot\vec{c}= \vec{a}\cdot(\vec{b}\times\vec{c})= (\vec{c}\times\vec{a})\cdot\vec{b}$ (123)

が成り立つことを示せ.

定義 1.96 (スカラー三重積)   スカラー三重積(scalar triple vector)

$\displaystyle [\vec{a},\vec{b},\vec{c}]= (\vec{a}\times\vec{b})\cdot\vec{c}= \vec{a}\cdot(\vec{b}\times\vec{c})= (\vec{c}\times\vec{a})\cdot\vec{b}$ (124)

と定義する.

定理 1.97 (スカラー三重積の値)  

$\displaystyle [\vec{a},\vec{b},\vec{c}]= \begin{vmatrix}a_{1} & a_{2} & a_{3} \\ b_{1} & b_{2} & b_{3} \\ c_{1} & c_{2} & c_{3} \end{vmatrix}$ (125)

1.98 (スカラー三重積の値)   これを示せ.

(証明)

$\displaystyle (\vec{a}\times\vec{b})\cdot\vec{c}= \begin{vmatrix}a_{2} & a_{3} ...
..._{2} & a_{3} \\ b_{1} & b_{2} & b_{3} \\ c_{1} & c_{2} & c_{3} \end{vmatrix}\,.$ (126)

1.99 (外積の性質)   次の関係式を示せ.
    (1)   $ (\vec{a}\times\vec{b})\times(\vec{c}\times\vec{d})=
[\vec{a},\vec{b},\vec{d}]\vec{c}-
[\vec{a},\vec{b},\vec{c}]\vec{d}$
    (2)   $ [\vec{a}\times\vec{b},\vec{b}\times\vec{c},\vec{c}\times\vec{a}]=
[\vec{a},\vec{b},\vec{c}]^2$
    (3)   $ [\vec{a}\times\vec{b},\vec{c}\times\vec{d},\vec{e}\times\vec{f}]=
[\vec{a},\ve...
...}][\vec{c},\vec{e},\vec{f}]-
[\vec{a},\vec{b},\vec{c}][\vec{d},\vec{e},\vec{f}]$
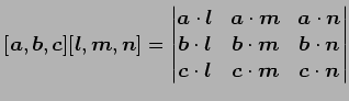
    (4)   $ \displaystyle{
[\vec{a},\vec{b},\vec{c}][\vec{l},\vec{m},\vec{n}]=
\begin{vmat...
...
\vec{c}\cdot\vec{l} &
\vec{c}\cdot\vec{m} &
\vec{c}\cdot\vec{n}
\end{vmatrix}}$

1.100 (スカラー三重積と体積)   頂点が $ O$, $ A(\vec{a})$, $ B(\vec{b})$, $ C(\vec{c})$, $ D(\vec{a}+\vec{b})$, $ E(\vec{a}+\vec{c})$, $ F(\vec{b}+\vec{c})$, $ G(\vec{a}+\vec{b}+\vec{c})$ である並行 6 面体の体積は $ V=\left\vert[\vec{a},\vec{b},\vec{c}]\right\vert$ である. これを示せ.


(答え)     平行 6 面体の体積は, 底面積を $ S$ とし, 高さを $ h$ とすると, $ V=Sh$ で与えれる. 底面の平行四辺形 $ OABD$ の面積は, $ S=\Vert\vec{a}\times\vec{b}\Vert$ である. また,底面に対する単位法線ベクトルは $ \vec{n}=(\vec{a}\times\vec{b})/\Vert\vec{a}\times\vec{b}\Vert$ である. ベクトル $ \vec{c}$ を垂線に射影してできるベクトルの長さが 高さ $ h$ であるから, $ h=\vert\vec{n}\cdot\vec{c}\vert=
\vert(\vec{a}\times\vec{b})\cdot\vec{c}\vert/\Vert\vec{a}\times\vec{b}\Vert$ となる. よって体積は $ V=\vert(\vec{a}\times\vec{b})\cdot\vec{c}\vert$ と求まる.

\includegraphics[width=0.9\textwidth]{V6.eps}

Kondo Koichi KONDO Koichi
平成19年1月25日