2.13 行列の積

定義 2.49 (行列の積)   行列 $ A$ と行列 $ B$ の積を $ C$ とする. このとき

$\displaystyle A\,B=C$ (292)

と表記する. 行列の積は型が

$\displaystyle A$ $\displaystyle =[a_{ij}]_{m\times n}\,,\qquad B=[b_{ij}]_{n\times r}\,,\qquad C=[c_{ij}]_{m\times r}\,\qquad$ (293)

のとき定義される. 各成分は

  $\displaystyle AB= \begin{bmatrix}\!*\! & \!*\! & \!\cdots\! & \!*\! \\ \!\vdots...
...! \\ \!*\! & \!*\! & \!\cdots\! & \!*\! & \!\cdots\! & \!*\! \end{bmatrix}=C\,,$ (294)
  $\displaystyle \qquad c_{ij}=a_{i1}b_{1j}+a_{i2}b_{2j}+a_{i3}b_{3j}+\cdots+ a_{in}b_{nj}= \sum_{k=1}^{n}a_{ik}b_{kj}$ (295)

と定義される.

2.50 (行列の積の計算例)  

  $\displaystyle \underset{\text{\small$2\times3$型}}{ \begin{bmatrix}2 & 1 & -3 \...
...imes3$型}}{ \begin{bmatrix}3 & 1 & 0 \\ 2 & 0 & -1 \\ -1 & 4 & 1 \end{bmatrix}}$ (296)
  $\displaystyle = \begin{bmatrix}2\times 3+1\times 2+(-3)\times(-1) & 2\times 1+1...
...mes 1+(-5)\times 0+2\times 4 & 1\times 0+(-5)\times(-1)+2\times 1 \end{bmatrix}$ (297)
  $\displaystyle = \underset{\text{\small$2\times3$型}}{ \begin{bmatrix}11 & -10 & -4 \\ -9 & 9 & 7 \end{bmatrix}}\,.$ (298)

2.51 (行列の積の計算例)  

$\displaystyle A$ $\displaystyle = \begin{bmatrix}1 \\ -1 \\ 2 \end{bmatrix}\,, \qquad B= \begin{bmatrix}1 & 3 & 2 \end{bmatrix}$ (299)

とおく.

$\displaystyle AB$ $\displaystyle = \underset{\text{\small$3\times1$型}}{ \begin{bmatrix}1 \\ -1 \\...
...3$型}}{ \begin{bmatrix}1 & 3 & 2 \\ -1 & -3 & -2 \\ 2 & 6 & 4 \end{bmatrix}}\,.$ (300)
$\displaystyle BA=$ $\displaystyle \underset{\text{\small$1\times3$型}}{ \begin{bmatrix}1 & 3 & 2 \e...
...}}{ \begin{bmatrix}2 \end{bmatrix}}\,. \qquad \text{←スカラーではないので注意}$ (301)

$ AB\neq BA$ であることに注意.

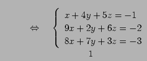
2.52 (行列の積の具体例)  

  $\displaystyle \underset{\text{\small$3\times3$\ 型}}{ \begin{bmatrix}1 & 4 & 5 ...
...rset{\text{\small$3\times1$\ 型}}{ \begin{bmatrix}-1 \\ -2 \\ -3 \end{bmatrix}}$ (302)
  $\displaystyle \qquad \quad\Leftrightarrow\quad \underset{\text{\small 連立 1 次...
...in{array}{l} x+4y+5z = -1 \\ 9x+2y+6z = -2 \\ 8x+7y+3z = -3 \end{array}\right.}$ (303)

Kondo Koichi KONDO Koichi
平成19年1月25日