3.4 演習問題 〜 連立 1 次方程式,掃き出し法

3.15 (連立 1 次方程式)   次の連立 1 次方程式を行列を用いて表せ. また連立 1 次方程式の係数行列,拡大係数行列を求めよ.
    (1)   $ \left\{\begin{array}{r}
2x_1+3x_2=-1 \\
x_1-x_2=2
\end{array}\right. $     (2)   $ \left\{\begin{array}{r}
x_1+2x_2-x_3=2 \\
-x_1+3x_3=8 \\
x_2-2x_3=-4
\end{array}\right. $     (3)   $ \left\{\begin{array}{r}
3x_1-2x_2+x_3+4x_4=7 \\
x_1-3x_3+x_4=5 \\
2x_1-x_2+9x_3=0
\end{array}\right. $

3.16 (掃き出し法)   次の連立 1 次方程式の解を求めよ. ただし,$ a$ は実数とする.
    (1)   $ \left\{\begin{array}{r}
2x_1+3x_2=-1 \\
x_1-x_2=2
\end{array}\right. $     (2)   $ \left\{\begin{array}{r}
3x_1+2x_2=0 \\
x_1-2x_2=8
\end{array}\right. $     (3)   $ \left\{\begin{array}{r}
x-y+2z=8 \\
2x+3y+z=5 \\
-x+4y+4z=1
\end{array}\right. $
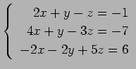
    (4)   $ \left\{\begin{array}{r}
2x+y-z=-1 \\
4x+y-3z=-7 \\
-2x-2y+5z=6
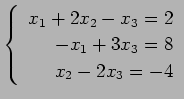
\end{array}\right. $     (5)   $ \left\{\begin{array}{r}
x_1+2x_2-x_3=2 \\
-x_1+3x_3=8 \\
x_2-2x_3=-4
\end{array}\right. $     (6)   $ \left\{\begin{array}{r}
x_1+x_2-x_3=1 \\
2x_1+x_2+3x_3=4 \\
-x_1+2x_2-4x_3=-2
\end{array}\right. $
    (7)   $ \left\{\begin{array}{r}
2x+y+z=2 \\
4x+2y+3z=1 \\
-2x-2y=-1
\end{array}\right. $     (8)   $ \left\{\begin{array}{r}
2x+y+z=2 \\
4x+y+3z=2 \\
x-y+7z=3
\end{array}\right. $     (9)   $ \left\{\begin{array}{r}
2x+3y-z=-3 \\
-x+2y+2z=1 \\
x+y-z=-2
\end{array}\right. $
    (10)   $ \left\{\begin{array}{r}
2x-y+3z=2 \\
x-y-2z=3 \\
-2x+2y+z=-3
\end{array}\right. $     (11)   $ \left\{\begin{array}{r}
x+2y-3z=-6 \\
2x-3y+z=16 \\
8x+y-5z=24
\end{array}\right. $     (12)   $ \left\{\begin{array}{r}
-x+3y-z=-5 \\
x-y+5z=7 \\
2x-3y+z=-1
\end{array}\right. $
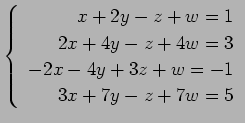
    (13)   $ \left\{\begin{array}{r}
2x-y+z-w=4 \\
x-y-z+w=5 \\
-2x+2y+z+2w=-4 \\
-x+y-z+3w=3
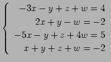
\end{array}\right. $     (14)   $ \left\{\begin{array}{r}
-3x-y+z+w=4 \\
2x+y-w=-2 \\
-5x-y+z+4w=5 \\
x+y+z+w=-2
\end{array}\right. $     (15)   $ \left\{\begin{array}{r}
2x+y-z=0 \\
4x+y-3z=0 \\
-2x-2y+5z=0 \\
\end{array}\right. $
    (16)   $ \left\{\begin{array}{r}
2x+y+z=2 \\
4x+2y+3z=5 \\
2x+2z=4 \\
\end{array}\right. $     (17)   $ \left\{\begin{array}{r}
-x+2y-3z=-4 \\
2x-4y+z=13 \\
3x-3y+6z=9 \\
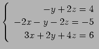
\end{array}\right. $     (18)   $ \left\{\begin{array}{r}
-y+2z=4 \\
-2x-y-2z=-5 \\
3x+2y+4z=6 \\
\end{array}\right. $
    (19)   $ \left\{\begin{array}{r}
x+2y-z=2 \\
2x+4y-6z=-8 \\
3x+5y+-7z=-8 \\
\end{array}\right. $     (20)   $ \left\{\begin{array}{r}
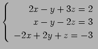
x+2y-z+w=1 \\
2x+4y-z+4w=3 \\
-2x-4y+3z+w=-1 \\
3x+7y-z+7w=5
\end{array}\right. $
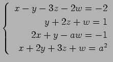
    (21)   $ \left\{\begin{array}{r}
x-y+2z-4w=-3 \\
2x-2y+3z-6w=-4 \\
-x+2y-3z+6w=6 \\
-3x+3y-4z+7w=4
\end{array}\right. $     (22)   $ \left\{\begin{array}{r}
x-y-3z-2w=-2 \\
y+2z+w=1 \\
2x+y-aw=-1 \\
x+2y+3z+w=a^2
\end{array}\right. $



Kondo Koichi KONDO Koichi
平成19年1月25日