3.13 演習問題 〜 行列の簡約化,階数

3.49 (階数)   次の行列の階数を求めよ. ただし,$ a$ は実数とする.
    (1)   $ \begin{bmatrix}
2\! & \!-1 \\ [-0.5ex] -4\! & \!2
\end{bmatrix}$     (2)   $ \begin{bmatrix}
1\! & \!4\! & \!3 \\ [-0.5ex] 2\! & \!8\! & \!6
\end{bmatrix}$     (3)   $ \begin{bmatrix}
1\! & \!3 \\ [-0.5ex] 0\! & \!-2 \\ [-0.5ex] 5\! & \!-1 \\ [-0.5ex]
-2\! & \!3
\end{bmatrix}$     (4)   $ \begin{bmatrix}
2\! & \!1 \\ [-0.5ex] 3\! & \!-7 \\ [-0.5ex] -6\! & \!1 \\ [-0.5ex]
5\! & \!-8
\end{bmatrix}$     (5)   $ \begin{bmatrix}
-1\! & \!3\! & \!0 \\ [-0.5ex] 2\! & \!1\! & \!-3 \\ [-0.5ex] 4\! &
-5\! & \!-3
\end{bmatrix}$
    (6)   $ \begin{bmatrix}
0\! & \!2\! & \!3 \\ [-0.5ex] 0\! & \!4\! & \!6 \\ [-0.5ex] 0\! &
6\! & \!9
\end{bmatrix}$     (7)   $ \begin{bmatrix}
1\! & \!2\! & \!3 \\ [-0.5ex] 2\! & \!1\! & \!3 \\ [-0.5ex] 3\! &
2\! & \!1
\end{bmatrix}$     (8)   $ \begin{bmatrix}
1\! & \!3\! & \!4 \\ [-0.5ex] 8\! & \!1\! & \!9 \\ [-0.5ex] 4\! &
2\! & \!6
\end{bmatrix}$     (9)   $ \begin{bmatrix}
1\! & \!2\! & \!1 \\ [-0.5ex] 2\! & \!3\! & \!3 \\ [-0.5ex] -1\! &
1\! & \!4
\end{bmatrix}$     (10)   $ \begin{bmatrix}
1\! & \!2\! & \!-1 \\ [-0.5ex] 2\! & \!-1\! & \!3 \\ [-0.5ex] 4\! &
3\! & \!1
\end{bmatrix}$
    (11)   $ \begin{bmatrix}
2\! & \!-1\! & \!1 \\ [-0.5ex] 4\! & \!-2\! & \!2 \\ [-0.5ex] -6\! &
3\! & \!-3
\end{bmatrix}$     (12)   $ \begin{bmatrix}
1\! & \!1\! & \!2 \\ [-0.5ex] 4\! & \!5\! & \!5 \\ [-0.5ex] 5\! &
8\! & \!1 \\ [-0.5ex] -1\! & \!-2\! & \!2
\end{bmatrix}$     (13)   $ \begin{bmatrix}
1\! & \!2\! & \!-3 \\ [-0.5ex] 2\! & \!1\! & \!0 \\ [-0.5ex] -2\! &
-1\! & \!3 \\ [-0.5ex] -1\! & \!4\! & \!-2
\end{bmatrix}$     (14)   $ \begin{bmatrix}
0\! & \!1\! & \!1\! & \!3 \\ [-0.5ex] 1\! & \!2\! & \!3\! & \!2
\\ [-0.5ex] 2\! & \!3\! & \!5\! & \!1
\end{bmatrix}$
    (15)   $ \begin{bmatrix}
1\! & \!2\! & \!3\! & \!4 \\ [-0.5ex] 1\! & \!2\! & \!4\! & \!5
\\ [-0.5ex] 2\! & \!4\! & \!5\! & \!7
\end{bmatrix}$     (16)   $ \begin{bmatrix}
1\! & \!2\! & \!5\! & \!9 \\ [-0.5ex] 1\! & \!1\! & \!2\! & \!5
\\ [-0.5ex] 3\! & \!2\! & \!3\! & \!11
\end{bmatrix}$     (17)   $ \begin{bmatrix}
2\! & \!2\! & \!4\! & \!0 \\ [-0.5ex] 4\! & \!5\! & \!11\! & \!1
\\ [-0.5ex] -7\! & \!-9\! & \!-20\! & \!2
\end{bmatrix}$     (18)   $ \begin{bmatrix}
0\! & \!1\! & \!0\! & \!1 \\ [-0.5ex] -1\! & \!0\! & \!1\! & \...
... 0\! & \!-1\! & \!0\! & \!1 \\ [-0.5ex] -1\! & \!0\! &
-1\! & \!0
\end{bmatrix}$
    (19)   $ \begin{bmatrix}
1\! & \!1\! & \!-2\! & \!1\! & \!3 \\ [-0.5ex] 2\! & \!-1\! & ...
...!
& \!2\! & \!6 \\ [-0.5ex] 3\! & \!2\! & \!-4\! & \!-3\! & \!-9
\end{bmatrix}$     (20)   $ \begin{bmatrix}
1\! & \!1\! & \!-1\! & \!1\! & \!1 \\ [-0.5ex] -3\! & \!-1\! &...
...
& \!-1\! & \!0 \\ [-0.5ex] 11\! & \!5\! & \!-5\! & \!a\! & \!a+2
\end{bmatrix}$     (21)   $ \begin{bmatrix}
1\! & \!1\! & \!2\! & \!-3\! & \!4 \\ [-0.5ex] 0\! & \!2\! & \...
...4\! & \!-5\! & \!8
\\ [-0.5ex] 1\! & \!3\! & \!5\! & \!-7\! & \!9
\end{bmatrix}$
    (22)   $ \begin{bmatrix}
1\! & \!3\! & \!1\! & \!-2\! & \!-3 \\ [-0.5ex] 1\! & \!4\! & ...
...! & \!-7\! & \!-3
\\ [-0.5ex] 3\! & \!8\! & \!1\! & \!-7\! & \!-8
\end{bmatrix}$     (23)   $ \begin{bmatrix}
1\! & \!3\! & \!-2\! & \!5\! & \!4 \\ [-0.5ex] 1\! & \!4\! & \...
...2\! & \!4\! & \!3 \\ [-0.5ex]
2\! & \!7\! & \!-3\! & \!6\! & \!13
\end{bmatrix}$     (24)   $ \begin{bmatrix}
1\! & \!2\! & \!-3\! & \!-2\! & \!-3 \\ [-0.5ex] 1\! & \!3\! &...
... & \!-2\! &
-11 \\ [-0.5ex] 2\! & \!1\! & \!-9\! & \!-10\! & \!-3
\end{bmatrix}$
    (25)   $ \begin{bmatrix}
1\! & \!3\! & \!1\! & \!-3\! & \!2 \\ [-0.5ex] 1\! & \!3\! & \...
...\!-2\! & \!1\! & \!3 \\ [-0.5ex] 1\! &
2\! & \!2\! & \!-3\! & \!2
\end{bmatrix}$     (26)   $ \begin{bmatrix}
1\! & \!4\! & \!-2\! & \!4\! & \!-5\! & \!4\! & \!1 \\ [-0.5ex...
...5 \\ [-0.5ex] 3\! &
10\! & \!-1\! & \!-9\! & \!6\! & \!8\! & \!-2
\end{bmatrix}$

3.50 (連立 1 次方程式)   次の連立 1 次方程式の解を求めよ. また,係数行列と拡大係数行列の階数を求めよ.
    (1)  $ 3x+2y=0$     (2)   $ \left\{\begin{array}{r}
2x+3y=0 \\
4x-y=0
\end{array}\right. $     (3)   $ \left\{\begin{array}{r}
2x+3y=0 \\
6x+9y=0
\end{array}\right. $     (4)   $ \left\{\begin{array}{r}
y+2z=0 \\
x+2y+z=0
\end{array}\right. $
    (5)   $ \left\{\begin{array}{r}
4x-3y=0 \\
20x-15y=0
\end{array}\right. $     (6)   $ \left\{\begin{array}{r}
x+y+z=0 \\
2x-4y-z=0
\end{array}\right. $     (7)   $ \left\{\begin{array}{r}
x-2y+3z=4 \\
x+y+2z=5
\end{array}\right. $
    (8)   $ \left\{\begin{array}{r}
x+2y+3z-4w=0 \\
2x+3y-z+2w=0
\end{array}\right. $     (9)   $ \left\{\begin{array}{r}
x_1+3x_2-x_3=1 \\
2x_1+6x_2-2x_3=4
\end{array}\right. $     (10)   $ \left\{\begin{array}{r}
x_1+x_2-x_3=3 \\
2x_1+3x_2+x_3=1
\end{array}\right. $
    (11)   $ \left\{\begin{array}{r}
x+2y+z+w=0 \\
-2x+y+3z-7w=0 \\
x-y-z-w=0
\end{array}\right. $     (12)   $ \left\{\begin{array}{r}
x+y+z+w=0 \\
x+3y+2z+4w=0 \\
2x+z-w=0
\end{array}\right. $     (13)   $ \left\{\begin{array}{r}
x+2y+z=0 \\
2x+3y+3z=0 \\
-x+y+4z=0
\end{array}\right. $
    (14)   $ \left\{\begin{array}{r}
x+3y+z=2 \\
2x+7y-z=-3 \\
-x+2y+3z=1
\end{array}\right. $     (15)   $ \left\{\begin{array}{r}
x+2y-4z=1 \\
x-4y+3z+w=1 \\
3x-5z+w=2
\end{array}\right. $     (16)   $ \left\{\begin{array}{r}
3x-2y+z=7 \\
x+2y-2z=2 \\
4x+3y-2z=7
\end{array}\right. $
    (17)   $ \left\{\begin{array}{r}
x+2y=1 \\
2x+3y=1 \\
3x+y=1
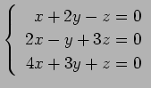
\end{array}\right. $     (18)   $ \left\{\begin{array}{r}
x+2y-z=0 \\
2x-y+3z=0 \\
4x+3y+z=0
\end{array}\right. $     (19)   $ \left\{\begin{array}{r}
2x-y+z=0 \\
4x-2y+2z=0 \\
-6x+3y-3z=0
\end{array}\right. $
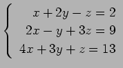
    (20)   $ \left\{\begin{array}{r}
x+2y-z=2 \\
2x-y+3z=9 \\
4x+3y+z=13
\end{array}\right. $     (21)   $ \left\{\begin{array}{r}
2x-y+z=0 \\
4x-2y+z=0 \\
-2x+y+3z=0
\end{array}\right. $     (22)   $ \left\{\begin{array}{r}
2x-y+z=-1 \\
4x-2y+2z=7 \\
-6x+3y-3z=3
\end{array}\right. $
    (23)   $ \left\{\begin{array}{r}
x_1+3x_2+2x_3=0 \\
2x_1+8x_2+5x_3+x_4=0 \\
-x_1-x_2-x_3+x_4=0
\end{array}\right. $     (24)   $ \left\{\begin{array}{r}
x_1+2x_2-x_3=0 \\
x_1+x_2+3x_4=0 \\
3x_1+5x_2-2x_3+3x_4=0 \\
x_1+3x_2-2x_3-3x_4=0
\end{array}\right. $
    (25)   $ \left\{\begin{array}{r}
2x_1-4x_2-2x_3-2x_4+4x_5=0 \\
-x_1+2x_2+x_3+x_4=0 \\
x_1-2x_2-2x_3-4x_4+3x_5=0 \\
3x_1-6x_2-x_3+3x_4+7x_5=0
\end{array}\right. $     (26)   $ \left\{\begin{array}{r}
x+y+z+w=0 \\
3x+3y+3z+2w=0 \\
x+2y+3z+4w=0 \\
3x+2y+z=0 \\
2x+3y+4z+4w=0
\end{array}\right. $
    (27)   $ \left\{\begin{array}{r}
2x+y+z=0 \\
4x+2y+3z=0 \\
2x+2z=0
\end{array}\right. $     (28)   $ \left\{\begin{array}{r}
-x+2y-3z=0 \\
2x-4y+z=0 \\
3x-3y+6z=0
\end{array}\right. $     (29)   $ \left\{\begin{array}{r}
-y+2z=0 \\
-2x-y-2z=0 \\
3x+2y+4z=0
\end{array}\right. $
    (30)   $ \left\{\begin{array}{r}
x+2y-z=0 \\
2x+4y-6z=0 \\
3x+5y-7z=0
\end{array}\right. $     (31)   $ \left\{\begin{array}{r}
-2x+3y-z=0 \\
6x-9y+3z=0 \\
-4x+6y-2z=0
\end{array}\right. $     (32)   $ \left\{\begin{array}{r}
2x+y+z=0 \\
4x+2y+3z=0 \\
2x+y+2z=0
\end{array}\right. $
    (33)   $ \left\{\begin{array}{r}
3x-y-2z=0 \\
-2x+3y-z=0 \\
-x-2y+3z=0
\end{array}\right. $     (34)   $ \left\{\begin{array}{r}
-x-2y+z=0 \\
3x-y-2z=0 \\
x-5y=0
\end{array}\right. $     (35)   $ \left\{\begin{array}{r}
x_1+x_2+x_3+2x_4=0 \\
x_1+2x_2-x_3+3x_4=0 \\
3x_1+4x_2+x_3+7x_4=0
\end{array}\right. $
    (36)   $ \left\{\begin{array}{r}
2x_1+x_2-2x_3=0 \\
x_1+x_2-3x_3+x_4=0 \\
3x_1+x_2-6x_3+x_4=0
\end{array}\right. $     (37)   $ \left\{\begin{array}{r}
x_1+x_2+3x_3=0 \\
x_1+2x_2+4x_3=0 \\
x_1-x_2+x_3=0 \\
x_1+4x_2+6x_3=0
\end{array}\right. $     (38)   $ \left\{\begin{array}{r}
2x_1+3x_2-x_3=0 \\
x_1-x_2+2x_3=0 \\
x_1+3x_2+2x_3=0 \\
2x_1+4x_2-x_3=0
\end{array}\right. $
    (39)   $ \left\{\begin{array}{r}
x_1+2x_2-x_3+x_4=0 \\
2x_1+4x_2-x_3+4x_4=0 \\
-2x_1-4x_2+3x_3=0 \\
3x_1+6x_2-x_3+7x_4=0
\end{array}\right. $     (40)   $ \left\{\begin{array}{r}
x_1-2x_2-x_3+x_4=0 \\
-2x_1+4x_2+3x_3=0 \\
3x_1-6x_2+2x_3+13x_4=0 \\
2x_1-4x_2+x_3+9x_4=0
\end{array}\right. $
    (41)   $ \left\{\begin{array}{r}
x_1+2x_2-x_3=0 \\
2x_1+2x_3+x_4=0 \\
x_1-2x_2+3x_3+x_4=0 \\
3x_1-2x_2+5x_3+2x_4=0
\end{array}\right. $     (42)   $ \left\{\begin{array}{r}
x_1-2x_2+2x_3+7x_4+x_5=0 \\
-3x_1+6x_2-2x_3-13x_4-x_5=0 \\
5x_1-10x_2-x_3+13x_4+x_5=0 \\
2x_1-4x_2+x_3+8x_4+x_5=0
\end{array}\right. $
    (43)   $ \left\{\begin{array}{r}
2x-y+z=2 \\
4x-2y+z=3 \\
-2x+y+3z=2
\end{array}\right. $     (44)   $ \left\{\begin{array}{r}
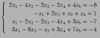
2x_1-4x_2-2x_3-2x_4+4x_5=-6 \\
-x_1+2x_2+x_3+x_4=1 \\
x_1-2x_2-2x_3-4x_4+3x_5=-7 \\
3x_1-6x_2-x_3+3x_4+7x_5=-4
\end{array}\right. $
    (45)   $ \left\{\begin{array}{r}
2x-y+z=2 \\
4x-2y+z=3 \\
-2x+y+3z=1
\end{array}\right. $     (46)   $ \left\{\begin{array}{r}
2x_1-4x_2-2x_3-2x_4+4x_5=-6 \\
-x_1+2x_2+x_3+x_4=-1 \\
x_1-2x_2-2x_3-4x_4+3x_5=-7 \\
3x_1-6x_2-x_3+3x_4+7x_5=-4
\end{array}\right. $
    (47)   $ \left\{\begin{array}{r}
-2x+3y-z=-1 \\
6x-9y+3z=3 \\
-4x+6y-2z=-2
\end{array}\right. $     (48)   $ \left\{\begin{array}{r}
2x+y+z=2 \\
4x+2y+3z=5 \\
2x+y+2z=3
\end{array}\right. $     (49)   $ \left\{\begin{array}{r}
3x-y-2z=-5 \\
-2x+3y-z=1 \\
-x-2y+3z=3
\end{array}\right. $
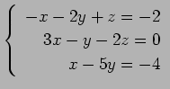
    (50)   $ \left\{\begin{array}{r}
-x-2y+z=-2 \\
3x-y-2z=0 \\
x-5y=-4
\end{array}\right. $     (51)   $ \left\{\begin{array}{r}
x_1+x_2+x_3+2x_4=-1 \\
x_1+2x_2-x_3+3x_4=2 \\
3x_1+4x_2+x_3+7x_4=1
\end{array}\right. $     (52)   $ \left\{\begin{array}{r}
x_1+x_2+3x_3=5 \\
x_1+2x_2+4x_3=7 \\
x_1-x_2+x_3=1 \\
x_1+4x_2+6x_3=11
\end{array}\right. $
    (53)   $ \left\{\begin{array}{r}
2x_1+x_2-2x_3=3 \\
x_1+x_2-3x_3+x_4=2 \\
3x_1+x_2-6x_3+x_4=4
\end{array}\right. $     (54)   $ \left\{\begin{array}{r}
2x_1+3x_2-x_3=-3 \\
x_1-x_2+2x_3=6 \\
x_1+3x_2+2x_3=2 \\
2x_1+4x_2-x_3=-1
\end{array}\right. $
    (55)   $ \left\{\begin{array}{r}
x_1+2x_2-x_3+x_4=-3 \\
2x_1+4x_2-x_3+4x_4=-1 \\
-2x_1-4x_2+3x_3=11 \\
3x_1+6x_2-x_3+7x_4=1
\end{array}\right. $     (56)   $ \left\{\begin{array}{r}
x_1-2x_2-x_3+x_4=-3 \\
-2x_1+4x_2+3x_3=8 \\
3x_1-6x_2+2x_3+13x_4=-10 \\
2x_1-4x_2+x_3+9x_4=-7
\end{array}\right. $
    (57)   $ \left\{\begin{array}{r}
x_1+2x_2-x_3=-1 \\
2x_1+2x_3+x_4=2 \\
x_1-2x_2+3x_3+x_4=3 \\
3x_1-2x_2+5x_3+2x_4=5
\end{array}\right. $     (58)   $ \left\{\begin{array}{r}
x_1-2x_2+2x_3+7x_4+x_5=-2 \\
-3x_1+6x_2-2x_3-13x_4-x_...
...
5x_1-10x_2-x_3+13x_4+x_5=15 \\
2x_1-4x_2+x_3+8x_4+x_5=3
\end{array}\right. $

Kondo Koichi KONDO Koichi
平成19年1月25日