4.8 行列式の性質

定理 4.62 (行列式の性質)  

$\displaystyle \det \begin{bmatrix}A & B \\ O & D \end{bmatrix} = \det \begin{bmatrix}A & O \\ C & D \end{bmatrix} = \det(A)\det(D)\,.$ (734)

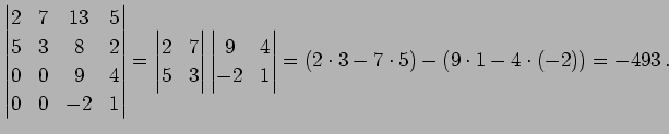
4.63 (行列式の計算例)  

$\displaystyle \begin{vmatrix}2 & 7 & 13 & 5 \\ 5 & 3 & 8 & 2 \\ 0 & 0 & 9 & 4 \...
... & 4 \\ -2 & 1 \end{vmatrix} = (2\cdot3-7\cdot5)- (9\cdot1-4\cdot(-2))= -493\,.$ (735)

定理 4.64 (行列の積の行列式)  

$\displaystyle \det(AB)=\det(A)\det(B)\,.$ (736)

注意 4.65 (行列の積の行列式)   $ AB\neq BA$ のときでさえも

$\displaystyle \det(AB)=\det(BA)$ (737)

が成り立つことに注意する. これは

$\displaystyle \det(AB)$ $\displaystyle =\det(A)\cdot\det(B)=\det(B)\cdot\det(A)=\det(BA)$ (738)

より示される.

4.66 (行列式の性質の使用例)  

$\displaystyle (a^2+b^2)(c^2+d^2)= (ac-bd)^2+(ad+bc)^2$ (739)

が成り立つことを

$\displaystyle \begin{bmatrix}a & b \\ -b & a \end{bmatrix} \begin{bmatrix}c & d...
... \end{bmatrix} = \begin{bmatrix}ac-bd & ad+bc \\ -(ad+bc) & ac-bd \end{bmatrix}$ (740)

の両辺の行列式をとることで示せ.

Kondo Koichi KONDO Koichi
平成19年1月25日