4.12 余因子展開

定理 4.75 (余因子展開)   行列式 $ \det(A)$ に対して

$\displaystyle \det(A)$ $\displaystyle = \sum_{k=1}^{n}a_{ik}\Delta_{ik}= a_{i1}\Delta_{i1}+ a_{i2}\Delta_{i2}+ a_{i3}\Delta_{i3}+\cdots+ a_{in}\Delta_{in}$ (754)
$\displaystyle \vert A\vert$ $\displaystyle = (-1)^{i+1}a_{i1}\vert A_{i1}\vert+ (-1)^{i+2}a_{i2}\vert A_{i2}\vert+\cdots+ (-1)^{i+n}a_{in}\vert A_{in}\vert$ (755)
  $\displaystyle =\sum_{k=1}^{n}(-1)^{i+k}a_{ik}\vert A_{ik}\vert$ (756)

が成り立つ. これを$ i$ 行に関する余因子展開という. また,

$\displaystyle \det(A)$ $\displaystyle = \sum_{k=1}^{n}a_{kj}\Delta_{kj}= a_{1j}\Delta_{1j}+ a_{2j}\Delta_{2j}+ a_{3j}\Delta_{3j}+\cdots+ a_{nj}\Delta_{nj}$ (757)
$\displaystyle \vert A\vert$ $\displaystyle = (-1)^{j+1}a_{1j}\vert A_{1j}\vert+ (-1)^{j+2}a_{2j}\vert A_{2j}\vert+ \cdots+ (-1)^{j+n}a_{nj}\vert A_{nj}\vert$ (758)
  $\displaystyle =\sum_{k=1}^{n}(-1)^{k+j}a_{kj}\vert A_{kj}\vert$ (759)

が成り立つ. これを$ j$ 列に関する余因子展開という.

4.76 (余因子展開)   これを示せ.


(証明) 第 $ i$ 行に関する余因子展開を示す. まず行列式 $ \vert A\vert$ の第 $ i$ 行目を第一行目に移動すると

$\displaystyle \vert A\vert$ $\displaystyle = \begin{vmatrix}a_{1,1}\! & \!a_{1,2}\! & \!a_{1,3}\! & \!\cdots...
...\\ a_{n,1}\! & \!a_{n,2}\! & \!a_{n,3}\! & \!\cdots\! & \!a_{n,n} \end{vmatrix}$ (760)

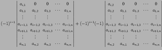
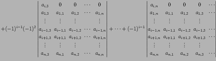
となる. 次に第一行目の行ベクトルを $ n$ 個のベクトルとしてみなし, 行列式を $ n$ 個に分解すると

  $\displaystyle \vert A\vert=$ (761)
  $\displaystyle (-1)^{i-1} \begin{vmatrix}a_{i,1}\! & \!0\! & \!0\! & \!\cdots\! ...
...\\ a_{n,1}\! & \!a_{n,2}\! & \!a_{n,3}\! & \!\cdots\! & \!a_{n,n} \end{vmatrix}$ (762)
  $\displaystyle +(-1)^{i-1} \begin{vmatrix}0\! & \!0\! & \!a_{i,3}\! & \!\cdots\!...
...\\ a_{n,1}\! & \!a_{n,2}\! & \!a_{n,3}\! & \!\cdots\! & \!a_{n,n} \end{vmatrix}$ (763)

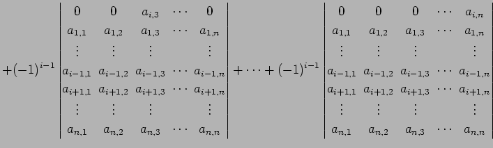
となる. 各項の第$ j$ 列を第一列に移動すると

  $\displaystyle \vert A\vert=$ (764)
  $\displaystyle (-1)^{i-1} \begin{vmatrix}a_{i,1}\! & \!0\! & \!0\! & \!\cdots\! ...
...\\ a_{n,2}\! & \!a_{n,1}\! & \!a_{n,3}\! & \!\cdots\! & \!a_{n,n} \end{vmatrix}$ (765)
  $\displaystyle +(-1)^{i-1}(-1)^2 \begin{vmatrix}a_{i,3}\! & \!0\! & \!0\! & \!\c...
...\\ a_{n,n}\! & \!a_{n,1}\! & \!a_{n,2}\! & \!a_{n,3}\! & \!\cdots \end{vmatrix}$ (766)

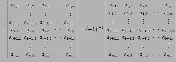
となる.各項を第 $ (1,1)$ 成分で展開すると

$\displaystyle \vert A\vert$ $\displaystyle = (-1)^{i+1}a_{i,1}\vert A_{i,1}\vert+ (-1)^{i+2}a_{i,2}\vert A_{i,2}\vert+ (-1)^{i+3}a_{i,3}\vert A_{i,3}\vert+$ (767)
  $\displaystyle \qquad\qquad \cdots+ (-1)^{i+n}a_{i,n}\vert A_{i,n}\vert$ (768)
  $\displaystyle = a_{i,1}\Delta_{i,1}+ a_{i,2}\Delta_{i,2}+ a_{i,3}\Delta_{i,3}+\cdots+ a_{i,n}\Delta_{i,n} = \sum_{k=1}^{n}a_{i,k}\Delta_{i,k}$ (769)

を得る. 同様の操作で列に関する余因子展開は示される.

4.77 (余因子展開の計算例)   第 $ 2$ 列目で余因子展開し,

  $\displaystyle \begin{vmatrix}2 & 3 & 1 \\ 7 & 2 & 5 \\ 4 & 0 & 3 \end{vmatrix}=...
...& 3 \end{vmatrix}+ (-1)^{3+2}\cdot0 \begin{vmatrix}2 & 1 \\ 7 & 5 \end{vmatrix}$ (770)
  $\displaystyle = -3(7\cdot3-5\cdot4)+2(2\cdot3-1\cdot4)-0=1$ (771)

を得る.

4.78 (余因子展開の計算例)   第 $ 2$ 行目で余因子展開し,

$\displaystyle \begin{vmatrix}4 & 5 & 2 \\ 0 & 0 & 2 \\ 7 & 8 & 3 \end{vmatrix}$ $\displaystyle = (-1)^{2+1}\cdot0 \begin{vmatrix}5 & 2 \\ 8 & 3 \end{vmatrix}+ (...
...& 3 \end{vmatrix}+ (-1)^{2+3}\cdot2 \begin{vmatrix}4 & 5 \\ 7 & 8 \end{vmatrix}$ (772)
  $\displaystyle =-0+0-2(4\cdot8-5\cdot7) =6$ (773)

を得る.

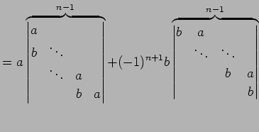
4.79 (余因子展開の計算例)   第一行目を余因子展開し,

$\displaystyle \overbrace{ \begin{vmatrix}a & & & & b \\ b & a & & & \\ & b & \ddots & & \\ & & \ddots & a & \\ & & & b & a \end{vmatrix}}^{n}$ $\displaystyle = a \overbrace{ \begin{vmatrix}a & & & \\ b & \ddots & & \\ & \dd...
...x}b & a & & \\ & \ddots & \ddots & \\ & & b & a \\ & & & b \end{vmatrix}}^{n-1}$ (774)
  $\displaystyle =a^{n}+(-1)^{n+1}b^{n}$ (775)

を得る.

Kondo Koichi KONDO Koichi
平成19年1月25日