5.18 ランダウの記号

定義 5.43 (ランダウの記号)   関数 $ f(x)$, $ g(x)$ に対して

$\displaystyle \lim_{x\to a} \left\vert\frac{f(x)}{g(x)}\right\vert=0$    

が成り立つとき,

$\displaystyle f(x)=o(g(x))\quad (x\to a)$    

と表記する. $ o(\cdot)$ランダウ(Landau)の記号であり, ラージオーと読む. またこのとき, $ f$$ g$ に比べ無視できるという.

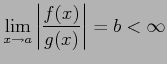
定義 5.44 (ランダウの記号)   関数 $ f(x)$, $ g(x)$ に対して

$\displaystyle \lim_{x\to a} \left\vert\frac{f(x)}{g(x)}\right\vert=b<\infty$    

が成り立つとき,

$\displaystyle f(x)=O(g(x))\quad (x\to a)$    

と表記する. $ O(\cdot)$ランダウ(Landau)の記号であり, スモールオーと読む. またこのとき $ f$$ g$押さえられるという.

注意 5.45 (二つのランダウの記号の関係)   関数 $ f(x)$, $ g(x)$ に対して

$\displaystyle f(x)=O(g(x))\quad (x\to a)$    

が成り立つとき, $ b\neq0$ であれば $ \displaystyle{\lim_{x\to a}
\left(\frac{f(x)}{g(x)}-b\right)=0}$ となるので

$\displaystyle f(x)=b\,g(x)+o(g(x)) \quad (x\to a)$    

が成り立つ.

定義 5.46 (無限大,無限小)   関数 $ f(x)$, $ g(x)$$ x\to a$ において無限小または 無限大となるとき,次の呼び方を定義する.

5.47 (ランダウの記号の使用例)  

$\displaystyle e^{x}$ $\displaystyle = 1+x+O(x^2)=1+x+o(x) \quad(x\to0)$    
  $\displaystyle =1+x+\frac{x^2}{2}+O(x^3)= 1+x+\frac{x^2}{2}+o(x^2) \quad(x\to0)$    

$\displaystyle \sin x$ $\displaystyle = x+O(x^3)=x+o(x) \quad(x\to0)$    
  $\displaystyle = x-\frac{x^3}{3!}+O(x^5)= x-\frac{x^3}{3!}+o(x^3) \quad(x\to0)$    

$\displaystyle \log(1+x)$ $\displaystyle = x-\frac{x^2}{2}+O(x^3)= x-\frac{x^2}{2}+o(x^2) \quad(x\to0)$    
  $\displaystyle = x-\frac{x^2}{2}+\frac{x^3}{6}+O(x^4)= x-\frac{x^2}{2}+\frac{x^3}{6}+o(x^3) \quad(x\to0)$    

注意 5.48 (テイラー展開とランダウの記号)   テイラー展開により

$\displaystyle f(x)$ $\displaystyle = f(a)+f'(a)(x-a)+ \frac{f''(a)}{2}(x-a)^2+ \cdots+ \frac{f^{(n)}(a)}{n!}(x-a)^{n}+ O\left((x-a)^{n+1}\right)\,,$    
$\displaystyle f(x)$ $\displaystyle = f(a)+f'(a)(x-a)+ \frac{f''(a)}{2}(x-a)^2+ \cdots+ \frac{f^{(n)}(a)}{n!}(x-a)^{n}+ o\left((x-a)^{n}\right)$    

が成り立つ.なぜなら

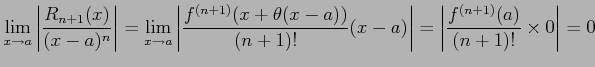
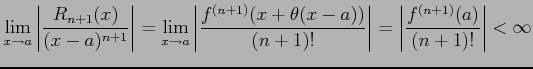
$\displaystyle \lim_{x\to a} \left\vert\frac{R_{n+1}(x)}{(x-a)^{n+1}}\right\vert...
...))}{(n+1)!}\right\vert= \left\vert\frac{f^{(n+1)}(a)}{(n+1)!}\right\vert<\infty$    

となるからである.同様に

$\displaystyle \lim_{x\to a} \left\vert\frac{R_{n+1}(x)}{(x-a)^{n}}\right\vert= ...
...)!}(x-a)\right\vert= \left\vert\frac{f^{(n+1)}(a)}{(n+1)!}\times 0\right\vert=0$    

となることより得られる.


平成22年6月17日