6.29 広義積分

有限区間で連続な関数に対し定義される量が定積分である. 不連続点を含む区間や無限区間における積分へ拡張する. この拡張された積分を広義積分(improper integral)という.

定義 6.142 (不連続点を含む区間での広義積分)   関数 $ f(x)$$ x=a$ で不連続で,区間 $ (a,b]$ で連続なとき,

$\displaystyle \int_{a}^{b}f(x)\,dx= \lim_{\epsilon\to+0} \int_{a+\epsilon}^{b}f(x)\,dx\,.$    

$ x=b$ で不連続で,区間 $ [a,b)$ で連続なとき,

$\displaystyle \int_{a}^{b}f(x)\,dx= \lim_{\epsilon\to+0} \int_{a}^{b-\epsilon}f(x)\,dx\,.$    

$ x=c$ $ (a<c<b)$ で不連続で,区間 $ [a,b]$ で連続なとき,

$\displaystyle \int_{a}^{b}f(x)\,dx= \lim_{\epsilon_1\to+0} \int_{a}^{c-\epsilon_1}f(x)\,dx + \lim_{\epsilon_2\to+0} \int_{c+\epsilon_2}^{b}f(x)\,dx\,.$    

以上の極限が存在するとき広義積分は収束するという.

6.143 (不連続点を含む広義積分の具体例)  

  $\displaystyle \int_{0}^{1} \frac{dx}{\sqrt{x}}= \lim_{\varepsilon\to+0} \int_{0...
...^{1}= \lim_{\varepsilon\to+0} \left( 2\sqrt{1}-2\sqrt{\varepsilon} \right)=2\,.$    
  $\displaystyle \int_{0}^{1} \frac{dx}{x}= \lim_{\varepsilon\to+0} \int_{0+\varep...
...og 1-\log\varepsilon\right)= -\lim_{\varepsilon\to+0}\log\varepsilon=+\infty\,.$    
  $\displaystyle \int_{0}^{1} \frac{dx}{x^2}= \lim_{\varepsilon\to+0} \int_{0+\var...
...}^{1}= \lim_{\varepsilon\to+0}\left( -1+\frac{1}{\varepsilon}\right)=+\infty\,.$    

定理 6.144 (広義積分の収束次数)   実数 $ p>0$ に対して次の広義積分が成り立つ:

$\displaystyle \int_{0}^{1}\frac{dx}{x^p}= \left\{\begin{array}{ll} \displaystyle{\frac{1}{1-p}} & (0<p<1) \\ [1em] +\infty & (p\geq1) \end{array}\right.$    

6.145 (広義積分の収束次数)   これを示せ.

6.146 (広義積分の計算例)  

$\displaystyle I$ $\displaystyle =\int_{0}^{1}x\log x\,dx= \lim_{\epsilon\to+0}\int_{\epsilon}^{1}...
... \right) = -\frac{1}{4} -\frac{1}{2}\lim_{\epsilon\to+0}\epsilon^2\log \epsilon$    
  $\displaystyle = -\frac{1}{4} +\frac{1}{2}\lim_{\xi\to+\infty}\frac{\log \xi}{\xi^2}= -\frac{1}{4}. \qquad (\epsilon=1/\xi)$    
$\displaystyle I_{\epsilon}$ $\displaystyle = \int_{\epsilon}^{1}x\log x\,dx= \frac{1}{2}\int_{\epsilon}^{1}(...
...ac{1}{2}x^2\log x}\,\right]_{\epsilon}^{1}- \frac{1}{2}\int_{\epsilon}^{1}x\,dx$    
  $\displaystyle = \left[\vrule height1.5em width0em depth0.1em\,{\frac{1}{2}x^2\l...
...2}{4} = -\frac{1}{2}\epsilon^2\log \epsilon +\frac{\epsilon^2}{4} -\frac{1}{4}.$    

6.147 (広義積分の計算例)  

$\displaystyle I$ $\displaystyle =\int_{0}^{1}x^2\log x\,dx= \lim_{\epsilon\to+0}\int_{\epsilon}^{...
...+\frac{\epsilon^3}{9} -\frac{\epsilon^{3}\log\epsilon}{3} \right)=-\frac{1}{9}.$    
$\displaystyle I_{\epsilon}$ $\displaystyle = \int_{\epsilon}^{1}x^2\log x\,dx= \int_{\xi}^{0}e^{2t}te^{t}\,d...
...m depth0.1em\,{te^{3t}}\,\right]_{\xi}^{0}- \frac{1}{3}\int_{\xi}^{0}e^{3t}\,dt$    
  $\displaystyle = \left[\vrule height1.5em width0em depth0.1em\,{\frac{1}{3}te^{3...
...i}}{9}= -\frac{1}{9} +\frac{\epsilon^3}{9} -\frac{\epsilon^{3}\log\epsilon}{3}.$    

ここで, $ t=\phi^{-1}(x)=\log x$, $ x=\phi(t)=e^{t}$ とおき, $ \displaystyle{\frac{dx}{dt}=e^{t}}$, $ \phi^{-1}(1)=\log 1=0$, $ \phi^{-1}(\epsilon)=\log\epsilon=\xi$ を用いた.

定義 6.148 (無限区間での広義積分)   関数 $ f(x)$ が無限区間 $ [a,\infty)$ で連続なとき,

  $\displaystyle \int_{a}^{+\infty}f(x)\,dx= \lim_{b\to+\infty}\int_{a}^{b}f(x)\,dx\,.$    

無限区間 $ (-\infty,b]$ で連続なとき,

  $\displaystyle \int_{-\infty}^{b}f(x)\,dx= \lim_{a\to-\infty}\int_{a}^{b}f(x)\,dx\,.$    

無限区間 $ (-\infty,\infty)$ で連続なとき,

  $\displaystyle \int_{-\infty}^{+\infty}f(x)\,dx= \lim_{a\to-\infty}\lim_{b\to+\infty}\int_{a}^{b}f(x)\,dx\,.$    

以上の極限が存在するとき広義積分は収束するという.

6.149 (無限区間での広義積分の具体例)  

  $\displaystyle \int_{0}^{\infty} \frac{dx}{x^2+1}= \lim_{b\to\infty} \int_{0}^{b...
...}^{b}= \lim_{b\to\infty} \left(\mathrm{Tan}^{-1}(b)-\mathrm{Tan}^{-1}(0)\right)$    
  $\displaystyle = \lim_{b\to\infty}\mathrm{Tan}^{-1}(b)=\frac{\pi}{2}\,.$    

6.150 (無限区間での広義積分の具体例)   $ \alpha>0$ に対して

  $\displaystyle \int_{-\infty}^{0}e^{\alpha\,x}\,dx= \lim_{a\to-\infty} \int_{a}^...
...a\to-\infty} \frac{1}{\alpha} \left(1-e^{\alpha\,a}\right)= \frac{1}{\alpha}\,.$    

6.151 (無限区間での広義積分の具体例)  

  $\displaystyle \int_{1}^{\infty}\frac{dx}{\sqrt{x}}= \lim_{b\to\infty} \int_{1}^...
...g[2\sqrt{x}\Big]_{1}^{b}= \lim_{b\to\infty} \left(2\sqrt{b}-2\right)=+\infty\,.$    
  $\displaystyle \int_{1}^{\infty}\frac{dx}{x}= \lim_{b\to\infty} \int_{1}^{b}\fra...
...lim_{b\to\infty} \left(\log b-\log 1\right)= \lim_{b\to\infty}\log b=+\infty\,.$    
  $\displaystyle \int_{1}^{\infty}\frac{dx}{x^2}= \lim_{b\to\infty} \int_{1}^{b}\f...
...-\frac{1}{x}\right]_{1}^{b}= \lim_{b\to\infty} \left(-\frac{1}{b}+1\right)=1\,.$    

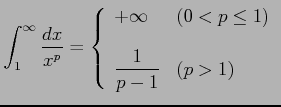
定理 6.152 (広義積分の収束次数)   実数 $ p>0$ に対して次の広義積分が成り立つ:

$\displaystyle \int_{1}^{\infty}\frac{dx}{x^p}= \left\{\begin{array}{ll} +\infty & (0<p\leq1) \\ [1em] \displaystyle{\frac{1}{p-1}} & (p>1) \end{array}\right.$    

6.153 (広義積分の収束次数)   これを示せ.

6.154 (広義積分の収束性)   広義積分

$\displaystyle \int_{0}^{1}\frac{dx}{e^{x}x^{p}}$    

を考える.被積分関数は

$\displaystyle \frac{1}{ex^{p}}\leq \frac{1}{e^{x}x^{p}}\leq \frac{1}{x^{p}}$    

の関係が成り立つので,

$\displaystyle \frac{1}{e} \int_{0}^{1} \frac{dx}{x^{p}}\leq \int_{0}^{1} \frac{dx}{e^{x}x^{p}}\leq \int_{0}^{1} \frac{dx}{x^{p}}$    

となる.ここで,

$\displaystyle \int_{0}^{1}\frac{dx}{x^p}= \left\{\begin{array}{ll} \text{収束} & (0<p<1) \\ [1em] \text{発散} & (p\ge 1) \end{array}\right.$    

であるから,はさみうちの定理より,

$\displaystyle \int_{0}^{1} \frac{dx}{e^{x}x^{p}}= \left\{\begin{array}{ll} \text{収束} & (0<p<1) \\ [1em] \text{発散} & (p\ge 1) \end{array}\right.$    

を得る.


平成22年6月17日