例 4.23 (等比数列の極限)
等比数列

の極限を考える.
(i)

, (ii)

, (iii)

の場合に分けて議論する.
まず,(i)

のとき,常に

である.極限は

である.
つぎに,(iii)

のとき,

とおく.このとき

をみたす.

を

を用いて書き下すと
を得る.ここで

は
二項係数(binomial coefficient)であり,
と定義する.

は
階乗(fractorial number)であり,
と再帰的に定義する.

をあらためて書き直すと
となる.
第三項以降を足したものは正となるので,
を得る.

のとき

より

を得る.
最後に,(i)

のときを考える.

を用いて

を

と置き換える.
このとき

をみたす.

を用いて

を書き下すと,
を得る.
不等式
が成立する.

のとき

であるから,
はさみうちの定理より

を得る.
以上をまとめると
が求まる.
例 4.24 (極限)
漸化式

で与えられる数列の一般項は
と表され,
その極限は
となる.
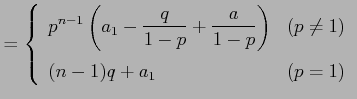
例 4.25 (極限)
漸化式

により与えられる
数列の一般項は
と表される.よって,

かつ

のとき

は
0 に収束する.
それ以外は発散する.
平成22年6月17日