4.16 等比級数
例 4.50 (等比級数) 等比数列の無限和を 等比級数(geometrical progression series)と呼び,
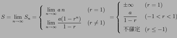
と書き表す. 等比級数は
となる.(証明) 第
部分和
を考える.のとき,
となる. つぎにのとき,等式
を用いるとは
と書ける. 以上より
となる. ただし無限大の符号はの符号
で決まる. 証明終り.
問 4.51 (1を根にもつ多項式の因数分解) 次の等式を示せ.
注意 4.52 (初項が異なる級数) 級数が
と定義されるときの値を考える. 部分和は
となるから, 結局級数は
と得られる.
注意 4.53 (等比級数の有理式表現)のとき
となる. この式はを
で割ることでも導出される. すなわち,
のように低次項を主項として割り算を無限回続ける.
例 4.54 (等比級数の具体例) 等比級数を考える. 部分和は
となるので,級数は
と得られる. または,等比級数の公比が
をみたすので, 級数は収束する.よって,公式を用いて級数は
と得られる.
例 4.55 (等比級数の具体例) 級数を考える. 部分和は
であるから,級数は
と得られる. または, 比級数の公比が
をみたすので, 級数は収束する.よって,公式を用いて級数は
と得られる.
例 4.56 (等比級数の具体例)
(証明)
平成22年6月17日