4.23 べき級数

定義 4.95 (べき級数)   定数 $ c_{0},c_{1},c_{2},\cdots,c_{n},\cdots$ と 変数 $ x$ を考える. このとき級数

$\displaystyle c_{0}+c_{1}\,x+c_{2}\,x^{2}+\cdots+c_{n}\,x^{n}+\cdots= \sum_{n=0}^{\infty}c_{n}\,x^{n}$    

べき級数(power series)または 整級数(polynomial series)と呼ぶ. 同様に級数

$\displaystyle c_{0}+c_{1}\,(x-a)+c_{2}\,(x-a)^{2}+\cdots+c_{n}\,(x-a)^{n}+\cdots= \sum_{n=0}^{\infty}c_{n}\,(x-a)^{n}$    

$ x-a$ のべき級数と呼ぶ.

定理 4.96 (べき級数)   級数 $ \sum c_n x^n$$ x=u$ で収束するとき, 絶対級数 $ \sum \vert c_nx^n\vert$$ \vert x\vert<\vert u\vert$ で収束する. よって級数 $ \sum c_n x^n$$ \vert x\vert<\vert u\vert$ で収束する.


(証明)    

  $\displaystyle \sum c_nx^n:$収束$\displaystyle \quad\Rightarrow\quad \lim_{n\to\infty}c_nx^n=0\quad\Rightarrow\quad \vert c_nx^n\vert\leq M$:有界$\displaystyle \quad\Rightarrow\quad \vert c_nx^n\vert=\vert c_nu^n\vert\left\vert\frac{x}{u}\right\vert^n\leq M\left\vert\frac{x}{u}\right\vert^n$    
  $\displaystyle \quad\Rightarrow\quad \sum\vert c_nx^n\vert\leq M\sum\left\vert\frac{x}{u}\right\vert^n \quad\Rightarrow$    $ \rho=\left\vert\frac{x}{u}\right\vert<1$ のとき,$\displaystyle \sum\vert c_nx^n\vert\leq \frac{M}{1-\rho}$    
  $\displaystyle \quad\Rightarrow$   $ \vert x\vert<\vert u\vert$ のとき, $ \sum \vert c_nx^n\vert$ は収束    

定義 4.97 (収束半径)   べき級数 $ \displaystyle{\sum_{n=0}^{\infty}c_{n}\,(x-a)^n}$$ \vert x-a\vert<r$ において絶対収束し, $ \vert x-a\vert>r$ において発散する. 定数 $ r\ge 0$収束半径(radius of convergence)と呼ぶ.

4.98 (収束半径の具体例)   べき級数

$\displaystyle \sum_{n=0}^{\infty}c_{n}\,x^{n}= \sum_{n=0}^{\infty}x^{n}= 1+x+x^2+x^3+\cdots$    

を考える.$ \sum\vert x^n\vert$$ \vert x\vert<1$ のとき収束する (公比が $ x$ の等比級数であるから). よって $ \sum x^n$$ \vert x\vert<1$ のとき絶対収束する. よって収束半径は $ r=1$ である.

4.99 (収束半径の具体例)   べき級数

$\displaystyle \sum_{n=0}^{\infty}c_{n}\,x^{n}= \sum_{n=0}^{\infty}\frac{x^{n}}{n!}= 1+x+\frac{x^2}{2}+\frac{x^3}{3!}+\cdots$    

は任意の有限の実数 $ x$ に対して絶対収束する(例題 [*]). すなわち $ \vert x\vert<\infty$ において収束する. このとき収束半径は $ r=\infty$ と表わす.

定理 4.100 (収束半径の計算法)   べき級数 $ \displaystyle{\sum_{n=0}^{\infty}c_{n}\,(x-a)^n}$ を考える. 極限

$\displaystyle r=\lim_{n\to\infty}\left\vert \frac{c_{n}}{c_{n+1}}\right\vert$    

または

$\displaystyle r=\lim_{n\to\infty} \frac{1}{\sqrt[n]{\vert c_{n}\vert}}$    

が存在するとき, べき級数 $ \sum c_{n}(x-a)^{n}$ の収束半径は $ r$ である.


(証明) 級数 $ \displaystyle{\sum_{n=0}^{\infty}c_{n}\,(x-a)^n}$ と その絶対級数 $ \displaystyle{\sum_{n=0}^{\infty}\vert c_{n}\,(x-a)^n\vert}$ を 考える. このとき

$\displaystyle \sum_{n=0}^{\infty}c_{n}\,(x-a)^n \leq \sum_{n=0}^{\infty}\vert c_{n}\,(x-a)^n\vert$    

であるので, $ \sum\vert c_{n}(x-a)^n\vert$ が収束するとき $ \sum c_{n}(x-a)^n$ も収束する. $ \sum a_{n}=\sum\vert c_{n}(x-a)^n\vert$ とおくと, $ a_{n}=\vert c_{n}(x-a)\vert^n\geq0$ であるから $ \sum a_{n}$ は正項級数となる. ゆえにダランベールの 収束判定法(定理 [*])より, 級数 $ \sum a_{n}$

$\displaystyle \lim_{n\to\infty}\frac{a_{n+1}}{a_{n}}<1$    

のとき収束する. よって

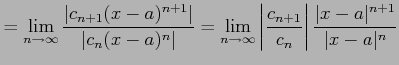
$\displaystyle \lim_{n\to\infty}\frac{a_{n+1}}{a_{n}}$ $\displaystyle = \lim_{n\to\infty} \frac{\left\vert c_{n+1}(x-a)^{n+1}\right\ver...
...frac{c_{n+1}}{c_{n}}\right\vert \frac{\vert x-a\vert^{n+1}}{\vert x-a\vert^{n}}$    
  $\displaystyle = \vert x-a\vert\lim_{n\to\infty} \left\vert\frac{c_{n+1}}{c_{n}}\right\vert<1$    

となる. これより

$\displaystyle \vert x-a\vert< \frac{1}{\displaystyle{ \lim_{n\to\infty}\left\ve...
..._{n}}\right\vert}}= \lim_{n\to\infty}\left\vert\frac{c_{n}}{c_{n+1}}\right\vert$    

を得る. 以上より収束半径は

$\displaystyle r$ $\displaystyle = \lim_{n\to\infty}\left\vert\frac{c_{n}}{c_{n+1}}\right\vert$    

と求まる. 同様にしてコーシーの 収束判定法(定理 [*])より $ \displaystyle{r=\lim_{n\to\infty}1/\sqrt[n]{\vert c_{n}\vert}}$ が求まる.

4.101 (収束半径の計算例)   べき級数

$\displaystyle \sum_{n=0}^{\infty} x^{n}=1+x+x^2+\cdots+x^n+\cdots$    

の収束半径を求める.$ c_{n}=1$ であるから,収束半径は

$\displaystyle r=\lim_{n\to\infty}\left\vert\frac{c_{n}}{c_{n+1}}\right\vert= \lim_{n\to\infty}\left\vert\frac{1}{1}\right\vert=1$    

と求まる. べき級数 $ \sum x^n$$ \vert x\vert<r=1$ のとき収束し, $ \vert x\vert>r=1$ のとき発散する.

4.102 (収束半径の計算例)   べき級数

$\displaystyle \sum_{n=0}^{\infty} \frac{x^{n}}{n!}=1+x+\frac{x^2}{2}+\frac{x^3}{3!}+ \cdots+\frac{x^n}{n!}+\cdots$    

の収束半径を求める. $ c_{n}=1/n!$ であるから,収束半径は

$\displaystyle r=\lim_{n\to\infty}\left\vert\frac{c_{n}}{c_{n+1}}\right\vert= \l...
...\to\infty}\left\vert\frac{(n+1)!}{n!}\right\vert= \lim_{n\to\infty}(n+1)=\infty$    

と求まる.収束半径は $ r=\infty$ である. べき級数 $ \sum x^n/n!$ は任意の実数 $ x$ に対して収束する.

4.103 (収束半径の計算例)   べき級数

$\displaystyle \sum_{n=1}^{\infty} \frac{(-1)^{n-1}}{n}x^{n}=x-\frac{1}{2}x^2+\frac{1}{3}x^3+ \cdots+\frac{(-1)^{n-1}}{n}x^n+\cdots$    

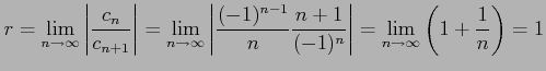
の収束半径を求める. $ c_{n}=(-1)^{n-1}/n$ であるから, 収束半径は

$\displaystyle r=\lim_{n\to\infty}\left\vert\frac{c_{n}}{c_{n+1}}\right\vert= \l...
...}\frac{n+1}{(-1)^{n}}\right\vert= \lim_{n\to\infty}\left(1+\frac{1}{n}\right)=1$    

と求まる. べき級数 $ \sum (-1)^{n-1}x^n/n$$ \vert x\vert<r=1$ のとき収束し, $ \vert x\vert>r=1$ のとき発散する.

4.104 (収束半径の計算例)   べき級数

$\displaystyle \sum_{n=0}^{\infty}2^{n}x^{2n}$    

の収束半径を求める. $ y=x^2$ とおくと,べき級数は

$\displaystyle \sum_{n=0}^{\infty}2^{n}y^{n}$    

と書ける. $ y$ の級数の収束半径は, $ c_n=2^n$ とおくと

$\displaystyle \tilde{r}$ $\displaystyle = \lim_{n\to\infty}\left\vert\frac{c_n}{c_{n+1}}\right\vert= \lim_{n\to\infty}\frac{2^{n}}{2^{n+1}}= \frac{1}{2}$    

と求まる.級数は

$\displaystyle \vert y\vert=\vert x^2\vert\le \tilde{r}=\frac{1}{2}$    

のとき収束する. よって,$ x$ については

$\displaystyle \vert x\vert\le r=\sqrt{\tilde{r}}=\frac{1}{\sqrt{2}}$    

のとき収束するので, $ x$ についての収束半径は $ \displaystyle{r=\frac{1}{\sqrt{2}}}$ である.


平成22年6月17日