2.10 ランダウの記号

定義 2.49 (ランダウの記号)   関数 $ f(x)$, $ g(x)$ に対して

$\displaystyle \lim_{x\to a} \left\vert\frac{f(x)}{g(x)}\right\vert=0$    

が成り立つとき,

$\displaystyle f(x)=o(g(x))\quad (x\to a)$    

と表記する. $ o(\cdot)$ランダウ(Landau)の記号である. またこのとき, $ f$$ g$ に比べ無視できるという.

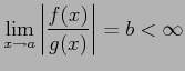
定義 2.50 (ランダウの記号)   関数 $ f(x)$, $ g(x)$ に対して

$\displaystyle \lim_{x\to a} \left\vert\frac{f(x)}{g(x)}\right\vert=b<\infty$    

が成り立つとき,

$\displaystyle f(x)=O(g(x))\quad (x\to a)$    

と表記する. $ O(\cdot)$ランダウ(Landau)の記号である. またこのとき $ f$$ g$押さえられるという.

注意 2.51 (二つのランダウの記号の関係)   関数 $ f(x)$, $ g(x)$ に対して

$\displaystyle f(x)=O(g(x))\quad (x\to a)$    

が成り立つとき, $ b\neq0$ であれば $ \displaystyle{\lim_{x\to a}
\left(\frac{f(x)}{g(x)}-b\right)=0}$ となるので

$\displaystyle f(x)=b\,g(x)+o(g(x)) \quad (x\to a)$    

が成り立つ.

定義 2.52 (無限大,無限小)   関数 $ f(x)$, $ g(x)$$ x\to a$ において無限小または 無限大となるとき,次の呼び方を定義する.

2.53 (ランダウの記号の使用例)   $ \sin x$ の極限 $ x\to 0$ において,

$\displaystyle \lim_{x\to0} \frac{\sin x}{x}=1$    

より

$\displaystyle \sin x$ $\displaystyle = O(x)\quad(x\to0)$    

が成り立つ. よって, $ x\to 0$ において $ \sin x$$ x$ とは同次の無限小である. また,

  $\displaystyle \frac{\sin x-\left(x-\frac{x^3}{3!}\right)}{x^5}= \frac{R_5(x)}{x...
...theta x)}{5!}x^5}{x^5}= \frac{\cos(\theta x)}{5!} \to \frac{1}{5!} \quad(x\to0)$    
  $\displaystyle \frac{\sin x-\left(x-\frac{x^3}{3!}\right)}{x^4}= \frac{R_5(x)}{x...
...rac{\cos(\theta x)}{5!}x^5}{x^4}= \frac{\cos(\theta x)}{5!}x \to 0 \quad(x\to0)$    
  $\displaystyle \frac{\sin x-\left(x-\frac{x^3}{3!}\right)}{x^3}= \frac{R_5(x)}{x...
...c{\cos(\theta x)}{5!}x^5}{x^3}= \frac{\cos(\theta x)}{5!}x^2 \to 0 \quad(x\to0)$    

より,

$\displaystyle \sin x$ $\displaystyle = x-\frac{x^3}{3!}+O(x^5) \quad(x\to0)$    
$\displaystyle \sin x$ $\displaystyle = x-\frac{x^3}{3!}+o(x^4) \quad(x\to0)$    
$\displaystyle \sin x$ $\displaystyle = x-\frac{x^3}{3!}+o(x^3) \quad(x\to0)$    

が成り立つ. よって, $ x\to 0$ において $ R_5(x)$$ x^5$ とは同次の無限小であり, $ R_5(x)$$ x^4$ および $ x^3$ より高次の無限小である.

2.54 (ランダウの記号の使用例)   $ \sqrt{x+x^2}$ の極限 $ x\to\infty$ において,

$\displaystyle \lim_{x\to\infty}\frac{\sqrt{x+x^2}}{x}= \lim_{x\to\infty}\sqrt{\frac{1}{x}+1}=1$    

より

$\displaystyle \sqrt{x+x^2}=O(x) \quad(x\to\infty)$    

が成り立つ. よって, $ x\to\infty$ において $ \sqrt{x+x^2}$$ x$ とは 同次の無限大である. また,

$\displaystyle \lim_{x\to\infty}\frac{\sqrt{x+x^2}}{x^2}= \lim_{x\to\infty}\sqrt{\frac{1}{x^3}+\frac{1}{x^2}}=0$    

より

$\displaystyle \sqrt{x+x^2}=o(x^2) \quad(x\to\infty)$    

が成り立つ. よって, $ x\to\infty$ において $ \sqrt{x+x^2}$$ x^2$ より 低次の無限大である.

注意 2.55 (テイラー展開とランダウの記号)   テイラー展開により

$\displaystyle f(x)$ $\displaystyle = f(a)+f'(a)(x-a)+ \frac{f''(a)}{2}(x-a)^2+ \cdots+ \frac{f^{(n)}(a)}{n!}(x-a)^{n}+ O\left((x-a)^{n+1}\right)\,,$    
$\displaystyle f(x)$ $\displaystyle = f(a)+f'(a)(x-a)+ \frac{f''(a)}{2}(x-a)^2+ \cdots+ \frac{f^{(n)}(a)}{n!}(x-a)^{n}+ o\left((x-a)^{n}\right)$    

が成り立つ.なぜなら

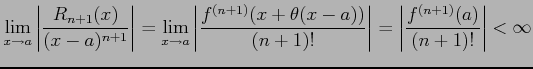
$\displaystyle \lim_{x\to a} \left\vert\frac{R_{n+1}(x)}{(x-a)^{n+1}}\right\vert...
...))}{(n+1)!}\right\vert= \left\vert\frac{f^{(n+1)}(a)}{(n+1)!}\right\vert<\infty$    

となるからである.同様に

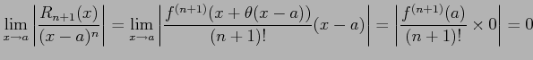
$\displaystyle \lim_{x\to a} \left\vert\frac{R_{n+1}(x)}{(x-a)^{n}}\right\vert= ...
...)!}(x-a)\right\vert= \left\vert\frac{f^{(n+1)}(a)}{(n+1)!}\times 0\right\vert=0$    

となることより得られる.

2.56 (ランダウの記号の使用例)  

$\displaystyle e^{x}$ $\displaystyle =1+x+O(x^2) \quad(x\to0)$    
  $\displaystyle =1+x+o(x) \quad(x\to0)$    
  $\displaystyle =1+x+\frac{x^2}{2}+O(x^3) \quad(x\to0)$    
  $\displaystyle =1+x+\frac{x^2}{2}+o(x^2) \quad(x\to0)$    

2.57 (ランダウの記号の使用例)  

$\displaystyle \log(1+x)$ $\displaystyle =x-\frac{x^2}{2}+O(x^3) \quad(x\to0)$    
  $\displaystyle =x-\frac{x^2}{2}+o(x^2) \quad(x\to0)$    
  $\displaystyle =x-\frac{x^2}{2}+\frac{x^3}{6}+O(x^4) \quad(x\to0)$    
  $\displaystyle =x-\frac{x^2}{2}+\frac{x^3}{6}+o(x^3) \quad(x\to0)$    


平成21年12月2日