2.21 $ n$ 変数関数と 1 変数関数の合成関数の微分

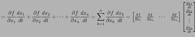
定理 2.94 (多変数関数の合成関数の微分)   $ n$ 変数関数 $ z=f(x_1,x_2,\cdots,x_n)=f(\vec{x})$ と 1 変数関数

  $\displaystyle x_1=\phi_1(t), \quad x_2=\phi_2(t), \quad \cdots, \quad x_n=\phi_n(t)$    

の合成関数 $ z=f(\vec{x}(t))$ の微分は

$\displaystyle \frac{dz}{dt}$ $\displaystyle = \frac{\partial f}{\partial x_1}\frac{dx_1}{dt}+ \frac{\partial ...
...x}\frac{dx_1}{dt} \\ \frac{dx_2}{dt} \\ \vdots \\ \frac{dx_n}{dt} \end{bmatrix}$    

で与えられる. ここで

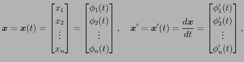
  $\displaystyle \vec{x}= \vec{x}(t)= \begin{bmatrix}x_1 \\ x_2 \\ \vdots \\ x_n \...
... \begin{bmatrix}\phi'_1(t) \\ \phi'_2(t) \\ \vdots \\ \phi'_n(t) \end{bmatrix},$    
  $\displaystyle \nabla f=\nabla f(\vec{x})= \mathrm{grad}\,f=\mathrm{grad}\,f(\ve...
...x}f_{x_1}(\vec{x}) & f_{x_2}(\vec{x}) & \cdots & f_{x_n}(\vec{x}) \end{bmatrix}$    

とおくと,

$\displaystyle \frac{dz}{dt}$ $\displaystyle = \nabla f\,\vec{x}'= \nabla f\cdot\vec{x}'= \mathrm{grad}\,f\,\frac{d\vec{x}}{dt}= \mathrm{grad}\,f\cdot\frac{d\vec{x}}{dt}$    

と書ける. また, 代入も含めて書くと

$\displaystyle \frac{d}{dt} f(\phi_1(t),\phi_2(t),\cdots,\phi_n(t))$ $\displaystyle = f_{x_1}(\phi_1(t),\phi_2(t),\cdots,\phi_n(t))\phi'_1(t)$    
  $\displaystyle \quad+ f_{x_2}(\phi_1(t),\phi_2(t),\cdots,\phi_n(t))\phi'_2(t)+$    
  $\displaystyle \cdots+ f_{x_n}(\phi_1(t),\phi_2(t),\cdots,\phi_n(t))\phi'_n(t)$    

となる.

注意 2.95 (多変数関数の合成関数の微分)   曲面 $ z=f(\vec{x})$ の点 $ \vec{x}$ における 法線ベクトルは $ \nabla f(\vec{x}(t))$ である(接平面の節を参照). $ \vec{x}(t)$ の軌跡は $ (x_1,\cdots,x_n)$ 空間内の曲線である. この曲線の接ベクトルは $ \vec{x}'(t)$ である.


平成21年12月2日