1.3 $ \mathbb{R}^3$ の直線と平面

定義 1.9 (直線)   $ xyz$ 空間における直線は, パラメータ $ t$ を用いてベクトルで表すと,

$\displaystyle \vec{x}(t)=\vec{x}_0+t\vec{p}, \qquad \vec{x}= \begin{bmatrix}x \...
...0 \\ z_0 \end{bmatrix}, \quad \vec{p}= \begin{bmatrix}a \\ b \\ c \end{bmatrix}$    

と書ける.$ \vec{p}$方向ベクトルである. 成分で表すと, $ \mathbb{R}^3$直線の方程式

$\displaystyle \frac{x-x_0}{a}= \frac{y-y_0}{b}= \frac{z-z_0}{c}$    

が得られる.

定義 1.10 (平面の方程式)   $ xyz$ 空間内の平面の方程式

$\displaystyle a(x-x_0)+ b(y-y_0)+ c(z-z_0)=0$    

と表される.ベクトルで表記すると

$\displaystyle \vec{n}\cdot(\vec{x}-\vec{x}_0)=0$    

となる.$ \vec{n}$法線ベクトルという.

注意 1.11 (平面,直線)   $ x$, $ y$, $ z$ に関する非同次 1 次方程式の一般形は

$\displaystyle ax+by+cz+d=0$    

である.この方程式は $ xyz$ 空間内の 法線ベクトルが $ {\begin{bmatrix}a & b & c \end{bmatrix}}^T$ で点 $ (0,0,-d/c)$ を通る平面を表す. 非同次 1 次方程式を 2 本の方程式で連立すると

$\displaystyle a_1x+b_1y+c_1z+d_1=0, \quad a_2x+b_2y+c_2z+d_2=0$    

である.方程式のそれぞれは法線ベクトルが $ {\begin{bmatrix}a_1 & b_1 & c_1 \end{bmatrix}}^T$ $ {\begin{bmatrix}a_2 & b_2 & c_2 \end{bmatrix}}^T$ の 平面を表す. よって, この連立方程式の解集合は, 2 つの平面の共有点の集合である直線となる.

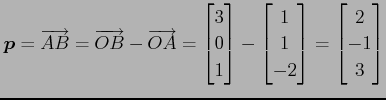
1.12 (直線)   2 点 $ A(1,1,-2)$, $ B(3,0,1)$ を通る $ xyz$ 空間内の直線を考える. この直線の方向ベクトルは

$\displaystyle \vec{p}=\overrightarrow{AB}= \overrightarrow{OB}-\overrightarrow{...
...{bmatrix}1 \\ 1 \\ -2 \end{bmatrix} = \begin{bmatrix}2 \\ -1 \\ 3 \end{bmatrix}$    

である.直線のパラメータ表示は

$\displaystyle \vec{x}(t)= \begin{bmatrix}x(t) \\ y(t) \\ z(t) \end{bmatrix} = \...
...}2 \\ -1 \\ 3 \end{bmatrix} = \begin{bmatrix}1+2t \\ 1-t \\ -2+3t \end{bmatrix}$    

となる. $ x=1+2t$, $ y=1-t$, $ z=-2+3t$$ t$ を消去すると, 直線の方程式

$\displaystyle \frac{x-1}{2}= \frac{y-1}{-1}= \frac{z+2}{3}$    

を得る.

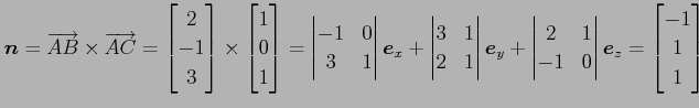
1.13 (平面)   3 点 $ A(1,1,-2)$, $ B(3,0,1)$, $ C(2,1,-1)$ を通る $ xyz$ 空間内の平面を考える. 法線ベクトルは

$\displaystyle \vec{n}=\overrightarrow{AB}\times \overrightarrow{AC}= \begin{bma...
...1 \\ -1 & 0 \end{vmatrix} \vec{e}_z = \begin{bmatrix}-1 \\ 1 \\ 1 \end{bmatrix}$    

であり,点 $ A(1,1,-2)$ を通るので, $ \vec{n}\cdot(\vec{x}-\overrightarrow{OA})=0$ より 平面の方程式

$\displaystyle -(x-1)+(y-1)+(z+2)=0$    

を得る.一般形で書けば

$\displaystyle x-y-z-2=0$    

となる.さらに変形して

$\displaystyle \frac{x}{2}+ \frac{x}{-2}+ \frac{x}{-2}=1$    

とする. 平面と $ x$ 軸,$ y$ 軸,$ z$ 軸の交点はそれぞれ $ x=2$, $ y=-2$, $ z=-2$ である.

1.14 (平面)   3 点 $ A(1,1,-2)$, $ B(3,0,1)$, $ C(2,1,-1)$ を通る $ xyz$ 空間内の平面を考える. 平面の方程式の一般形は

$\displaystyle ax+by+cz+1=0$    

であるから,これに各点の座標を代入すると 連立方程式

$\displaystyle a+b-2c+1=0, \quad 3a+c+1=0, \quad 2a+b-c+1=0$    

を得る.この方程式の解は

$\displaystyle (a,b,c)=\left( -\frac{1}{2}, \frac{1}{2}, \frac{1}{2} \right)$    

である.よって平面の方程式は $ x-y-z-2=0$ となる.

1.15 (直線)   連立方程式

$\displaystyle x-y-z-2=0, \quad 2x+y-z-5=0$    

で定まる直線を考える. この直線は 2 つの平面の共有点である. 第 2 式から第 1 式を引いて $ z$ を消去すると

$\displaystyle x+2y-3=0$    

であり,第 1 式と第 2 式を足して $ y$ を消去すると

$\displaystyle 3x-2z-7=0$    

となる. これらより

$\displaystyle x=\frac{y-\frac{3}{2}}{-\frac{1}{2}}=\frac{z+\frac{7}{2}}{\frac{3...
...d\Rightarrow\quad \frac{x}{2}= \frac{y-\frac{3}{2}}{-1}=\frac{z+\frac{7}{2}}{3}$    

を得る. 直線は点 $ (0,\frac{3}{2},-\frac{7}{2})$ を通り, 方向ベクトル $ \displaystyle{{\begin{bmatrix}2 & -1 & 3 \end{bmatrix}}^T}$ の 直線である. また,パラメータ表示すると

$\displaystyle x=2t, \quad y=-t+\frac{3}{2}, \quad z=3t-\frac{7}{2}$    

である.$ t$ は任意であるから, $ t$ $ t+\frac{1}{2}$ と置き換えると,

$\displaystyle x=2t+1, \quad y=-t+1, \quad z=3t-2$    

となり,式が簡単となる. このとき平面の方程式は

$\displaystyle \frac{x-1}{2}= \frac{y-1}{-1}= \frac{z+2}{3}$    

となる.直線は点 $ (1,1,-2)$ も通る.

1.16 (直線)   連立方程式

$\displaystyle x-y-z-2=0, \quad 2x+y-z-5=0$    

で定まる直線を考える. この直線は 2 つの平面の解集合であるから, 連立方程式

$\displaystyle \begin{bmatrix}1 & -1 & -1 \\ 2 & 1 & -1 \end{bmatrix} \begin{bmatrix}x \\ y \\ z \end{bmatrix} = \begin{bmatrix}2 \\ 5 \end{bmatrix}$    

を解く. 拡大係数行列を簡約化すると

$\displaystyle \begin{bmatrix}1 & -1 & -1 & 2\\ 2 & 1 & -1 & 5 \end{bmatrix} \qu...
...{\to}\quad \begin{bmatrix}1 & 0 & -2/3 & 7/3 \\ 0 & 1 & 1/3 & 1/3 \end{bmatrix}$    

となる. このとき方程式は

$\displaystyle x-\frac{2}{3}z=\frac{7}{3}, \quad y+\frac{1}{3}z=\frac{1}{3}$    

と変形される. 階数が $ 2$ であるから,任意定数は 1 個であるので, 任意定数 $ t$$ z=t$ とおくと,

$\displaystyle x=\frac{2}{3}t+\frac{7}{3}, \quad y=-\frac{1}{3}t+\frac{1}{3}, \quad z=t$    

を得る. $ t$ は任意定数であるから,$ t$$ 3t-2$ と置き換えると,

$\displaystyle x=2t+1, \quad y=-t+1, \quad z=3t-2$    

を得る. $ t$ を消去すると平面の方程式

$\displaystyle \frac{x-1}{2}= \frac{y-1}{-1}= \frac{z+2}{3}$    

を得る.


平成21年12月2日