4.20 いろいろな行列式

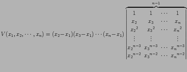
定理 4.108 (ファンデアモントの行列式)   行列式

$\displaystyle V= \overbrace{ \begin{vmatrix}1 & 1 & \cdots & 1 \\ x_{1} & x_{2}...
...ts \\ (x_{1})^{n-1} & (x_{2})^{n-1} & \cdots & (x_{n})^{n-1} \end{vmatrix}}^{n}$ (821)

ファンデアモントの行列式という. $ V$

$\displaystyle V= \prod_{i\leq i<j\leq n}(x_{j}-x_{i}) = (-1)^{\frac{n(n-1)}{2}} \prod_{i\leq i<j\leq n}(x_{i}-x_{j})$ (822)

と与えられる.

4.109 (ファンデアモントの行列式)   これを示せ.


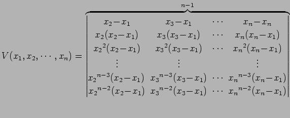
(証明) 行列式を

  $\displaystyle V(x_{1},x_{2},\cdots,x_{n})= \overbrace{ \begin{vmatrix}1\! & \!1...
...}^{n-1}\! & \!x_{2}{}^{n-1}\! & \!\cdots\! & \!x_{n}{}^{n-1} \end{vmatrix}}^{n}$ (823)

とおく. 第 $ n-1$ 行に $ -x_{1}$ をかけて第 $ n$ 行に加える. 第 $ n-2$ 行に $ -x_{1}$ をかけて第 $ n-1$ 行に加える. 第 $ n-3$ 行に $ -x_{1}$ をかけて第 $ n-2$ 行に加える. 同様に繰り返して, 第 $ 1$ 行に $ -x_{1}$ をかけて第 $ 2$ 行に加える. すると

  $\displaystyle V(x_{1},x_{2},\cdots,x_{n})= \overbrace{ \begin{vmatrix}1\! & \!1...
...!-\!x_{1})\! & \!\cdots\! & \!x_{n}{}^{n-2}(x_{n}\!-\!x_{1}) \end{vmatrix}}^{n}$ (824)

を得る. 第 $ (1,1)$ 成分で展開すると

  $\displaystyle V(x_{1},x_{2},\cdots,x_{n})= \overbrace{ \begin{vmatrix}x_{2}\!-\...
...\!x_{1})\! & \!\cdots\! & \!x_{n}{}^{n-2}(x_{n}\!-\!x_{1}) \end{vmatrix}}^{n-1}$ (825)

となる. 第 $ 1$ 列は $ x_{2}-x_{1}$ を共通因子としてもつ. 第 $ 2$ 列は $ x_{3}-x_{1}$ を共通因子としてもつ. 同様にして 第 $ j$ $ (j=1,2,\cdots,n-1)$ $ x_{j}-x_{1}$ を共通因子としてもつ. 共通因子を行列式の外にくくり出すと

  $\displaystyle V(x_{1},x_{2},\cdots,x_{n})= (x_{2}\!-\!x_{1}) (x_{3}\!-\!x_{1})\...
...{n-2}\! & \!x_{3}{}^{n-2}\! & \!\cdots\! & \!x_{n}{}^{n-2} \end{vmatrix}}^{n-1}$ (826)

である. このとき

$\displaystyle V(x_{1},x_{2},\cdots,x_{n})$ $\displaystyle = \left( \prod_{1<j\leq n}\!\!(x_{j}\!-\!x_{1}) \right) V(x_{2},x_{3},\cdots,x_{n})$ (827)

が成り立つ. 行列式のサイズがひとつ小さくなった. これを繰り返すと

  $\displaystyle V(x_{1},x_{2},\cdots,x_{n})$ (828)
  $\displaystyle = \left( \prod_{1<j\leq n}\!\!(x_{j}\!-\!x_{1}) \right) \left( \prod_{2<j\leq n}\!\!(x_{j}\!-\!x_{2}) \right) V(x_{3},x_{4},\cdots,x_{n})$ (829)
  $\displaystyle = \left( \prod_{1<j\leq n}\!\!(x_{j}\!-\!x_{1}) \right) \left( \p...
...dots \left( \prod_{n-2<j\leq n}\!\!(x_{j}\!-\!x_{n-2}) \right) V(x_{n-1},x_{n})$ (830)
  $\displaystyle = \left( \prod_{1<j\leq n}\!\!(x_{j}\!-\!x_{1}) \right) \left( \p...
...\!-\!x_{n-2}) \right) \left( \prod_{n-1<j\leq n}\!\!(x_{j}\!-\!x_{n-1}) \right)$ (831)
  $\displaystyle = \prod_{1\leq i<j\leq n}\!\!(x_{j}\!-\!x_{i})$ (832)

を得る.

4.110 (ファンデアモントの具体例)  

  $\displaystyle V(x_{1},x_{2})= \begin{vmatrix}1 & 1 \\ x_{1} & x_{2} \end{vmatrix} =x_{2}-x_{1}\,.$ (833)
  $\displaystyle V(x_{1},x_{2},x_{3})= \begin{vmatrix}1 & 1 & 1 \\ x_{1} & x_{2} &...
...2}{}^2 & x_{3}{}^2 \end{vmatrix} = (x_{2}-x_{1}) (x_{3}-x_{1}) (x_{3}-x_{2})\,.$ (834)
  $\displaystyle V(x_{1},x_{2},x_{3},x_{4})= \begin{vmatrix}1 & 1 & 1 & 1 \\ x_{1}...
...{}^2 & x_{4}{}^2 \\ x_{1}{}^3 & x_{2}{}^3 & x_{3}{}^3 & x_{4}{}^3 \end{vmatrix}$ (835)
  $\displaystyle = (x_{2}-x_{1}) (x_{3}-x_{1}) (x_{4}-x_{1}) (x_{3}-x_{2}) (x_{4}-x_{2}) (x_{4}-x_{3})\,.$ (836)

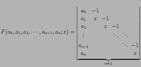
定義 4.111 (コンパニオン行列式)   行列式

$\displaystyle F$ $\displaystyle = \underbrace{ \begin{vmatrix}a_{0}\! & \!-1\! & & & & \\ a_{1}\!...
..._{n-1}\!& & & & \!\ddots\! & \!-1 \\ a_{n}\! & & & & & \!x \end{vmatrix}}_{n+1}$ (837)

コンパニオン行列式(companion determinant)という.

定理 4.112   コンパニオン行列式は

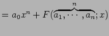
$\displaystyle F=a_{0}x^{n}+a_{1}x^{n-1}+\cdots+a_{n-2}x^2+a_{n-1}x+a_{n}$ (838)

が成り立つ.


(証明) 行列式を

  $\displaystyle F(a_{0},a_{1},a_{2},\cdots,a_{n-1},a_{n};x)= \underbrace{ \begin{...
..._{n-1}\!& & & & \!\ddots\! & \!-1 \\ a_{n}\! & & & & & \!x \end{vmatrix}}_{n+1}$ (839)

とおく.第 $ 1$ 行目を余因子展開すると

$\displaystyle F(a_{0},a_{1},\cdots,a_{n};x)$ $\displaystyle = a_{0} \underbrace{ \begin{vmatrix}x\! & \!-1\! & & & \\ & \!x\!...
...& \\ a_{n-1}\!& & & \!\ddots\! & \!-1 \\ a_{n}\! & & & & \!x \end{vmatrix}}_{n}$ (840)

となる. 前の項の行列式は上三角行列なので対角線分の積で表される. 後の項の行列式はサイズと係数が異なるコンパニオン行列式となる. よって

$\displaystyle F(\overbrace{a_{0},a_{1},\cdots,a_{n}}^{n+1};x)$ $\displaystyle = a_{0}x^{n} +F(\overbrace{a_{1},\cdots,a_{n}}^{n};x)$ (841)

と表される. これを繰り返すと

$\displaystyle F(\overbrace{a_{0},a_{1},\cdots,a_{n}}^{n+1};x)$ $\displaystyle = a_{0}x^{n} +F(\overbrace{a_{1},\cdots,a_{n}}^{n};x)$ (842)
  $\displaystyle = a_{0}x^{n}+a_{1}x^{n-1} +F(\overbrace{a_{2},\cdots,a_{n}}^{n-1};x)$ (843)
  $\displaystyle = a_{0}x^{n}+a_{1}x^{n-1}+a_{2}x^{n-2} +F(\overbrace{a_{3},\cdots,a_{n}}^{n-2};x)$ (844)
  $\displaystyle = a_{0}x^{n}+a_{1}x^{n-1}+a_{2}x^{n-2}+\cdots+a_{n-2}x^2 +F(\overbrace{a_{n-1},a_{n}}^{2};x)$ (845)
  $\displaystyle = a_{0}x^{n}+a_{1}x^{n-1}+a_{2}x^{n-2}+\cdots+a_{n-2}x^2+a_{n-1}x+a_{n}$ (846)

を得る.

4.113 (コンパニオン行列式の具体例)  

$\displaystyle F(a_{0},a_{1};x)$ $\displaystyle = \begin{vmatrix}a_{0} & -1 \\ a_{1} & x \end{vmatrix} = a_{0}x-(-1)a_{1}= a_{0}x+a_{1}\,.$ (847)
$\displaystyle F(a_{0},a_{1},a_{2};x)$ $\displaystyle = \begin{vmatrix}a_{0} & -1 & \\ a_{1} & x & -1 \\ a_{2} & & x \e...
...\\ & x \end{vmatrix} -(-1) \begin{vmatrix}a_{1} & -1 \\ a_{2} & x \end{vmatrix}$ (848)
  $\displaystyle = a_{0}x^{2}+a_{1}x-(-1)a_{2} = a_{0}x^2+a_{1}x+a_{2}\,.$ (849)
$\displaystyle F(a_{0},a_{1},a_{2},a_{3};x)$ $\displaystyle = \begin{vmatrix}a_{0} & -1 & & \\ a_{1} & x & -1 & \\ a_{2} & & ...
...(-1) \begin{vmatrix}a_{1} & -1 & \\ a_{2} & x & -1 \\ a_{3} & & x \end{vmatrix}$ (850)
  $\displaystyle = a_{0}x^3+a_{1}x^{2}+a_{2}x+a_{3}\,.$ (851)

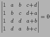
4.114 (行列式の計算)  

$\displaystyle \begin{vmatrix}1 & a & b & c\!+\!d \\ 1 & b & c & d\!+\!a \\ 1 & d & d & a\!+\!b \\ 1 & d & a & b\!+\!c \end{vmatrix}=0$ (852)

となることを示せ.


(証明)

  $\displaystyle \begin{vmatrix}1 & a & b & c\!+\!d \\ 1 & b & c & d\!+\!a \\ 1 & ...
... & b & 1 \\ 1 & b & c & 1 \\ 1 & d & d & 1 \\ 1 & d & a & 1 \end{vmatrix} =0\,.$ (853)

Kondo Koichi KONDO Koichi
平成19年1月25日