4.21 演習問題 〜 余因子行列,クラメルの公式

4.115 (余因子行列)   次の行列の逆行列を余因子行列を用いて求めよ.
    (1)   $ \begin{bmatrix}
3\! & \!-1 \\ [-0.5ex] 1\! & \!2
\end{bmatrix}$     (2)   $ \begin{bmatrix}
2\! & \!1 \\ [-0.5ex] -5\! & \!-4
\end{bmatrix}$     (3)   $ \begin{bmatrix}
\cos\theta\! & \!-\sin\theta \\ [-0.5ex] \sin\theta\! & \!\cos\theta
\end{bmatrix}$     (4)   $ \frac{1}{2}
\begin{bmatrix}
1\! & \!-\sqrt{3} \\ [-0.5ex] \sqrt{3}\! & \!1
\end{bmatrix}$     (5)   $ \begin{bmatrix}
1\! & \!2\! & \!3 \\ [-0.5ex] 1\! & \!1\! & \!-1 \\ [-0.5ex] 4\! &
1\! & \!5
\end{bmatrix}$
    (6)   $ \begin{bmatrix}
1\! & \!-2\! & \!2 \\ [-0.5ex] 4\! & \!1\! & \!-1 \\ [-0.5ex] 2\! &
-1\! & \!3
\end{bmatrix}$     (7)   $ \begin{bmatrix}
2\! & \!4\! & \!1 \\ [-0.5ex] 1\! & \!-2\! & \!1 \\ [-0.5ex] 0\! &
5\! & \!-1
\end{bmatrix}$     (8)   $ \begin{bmatrix}
2\! & \!-1\! & \!-2 \\ [-0.5ex] -1\! & \!0\! & \!3 \\ [-0.5ex] 3\! &
-2\! & \!5
\end{bmatrix}$     (9)   $ \begin{bmatrix}
a\! & \!0\! & \!0 \\ [-0.5ex] d\! & \!b\! & \!0 \\ [-0.5ex] e\! &
f\! & \!c
\end{bmatrix}$     (10)   $ \begin{bmatrix}
2\! & \!1\! & \!0 \\ [-0.5ex] 1\! & \!-1\! & \!2 \\ [-0.5ex] -1\! &
0\! & \!-1
\end{bmatrix}$
    (11)   $ \begin{bmatrix}
x-2\! & \!1\! & \!1 \\ [-0.5ex] 0\! & \!2x-1\! & \!x-1 \\ [-0.5ex] -2\! &
1\! & \!1
\end{bmatrix}$     (12)   $ \begin{bmatrix}
1\! & \!0\! & \!1 \\ [-0.5ex] 2\! & \!2\! & \!3 \\ [-0.5ex] 1\! &
-1\! & \!1
\end{bmatrix}$     (13)   $ \begin{bmatrix}
2\! & \!3\! & \!2 \\ [-0.5ex] 3\! & \!1\! & \!-2 \\ [-0.5ex] -1\! &
0\! & \!1
\end{bmatrix}$     (14)   $ \begin{bmatrix}
3\! & \!1\! & \!0 \\ [-0.5ex] 2\! & \!1\! & \!1 \\ [-0.5ex] 1\! &
0\! & \!1
\end{bmatrix}$
    (15)   $ \begin{bmatrix}
2\! & \!-1\! & \!1 \\ [-0.5ex] 1\! & \!2\! & \!-2 \\ [-0.5ex] 3\! &
1\! & \!0
\end{bmatrix}$     (16)   $ \begin{bmatrix}
1\! & \!-2\! & \!0 \\ [-0.5ex] 2\! & \!-1\! & \!1 \\ [-0.5ex] 0\! &
3\! & \!1
\end{bmatrix}$     (17)   $ \begin{bmatrix}
1\! & \!0\! & \!2 \\ [-0.5ex] 2\! & \!-3\! & \!4 \\ [-0.5ex] 0\! &
2\! & \!1
\end{bmatrix}$     (18)   $ \begin{bmatrix}
1\! & \!2\! & \!-3 \\ [-0.5ex] 2\! & \!-3\! & \!1 \\ [-0.5ex] 8\! &
1\! & \!-5
\end{bmatrix}$

4.116 (余因子行列)   $ A$$ n$ 次の正方行列とする.このとき余因子行列 $ \tilde{A}$ $ \det(\tilde{A})=\det(A)^{n-1}$ であることを示せ.

4.117 (余因子行列)   $ A$ が対称行列ならば余因子行列 $ \tilde{A}$ も対称行列であることを示せ. また $ A$ がさらに正則ならば $ A^{-1}$ も対称行列であることを示せ.

4.118 (余因子行列)   $ A$ が交代行列のとき余因子行列 $ \tilde{A}$ は交代行列となるか答えよ.

4.119 (クラメルの公式)   次の連立方程式をクラメルの公式を用いて解け.
    (1)   $ \left\{\begin{array}{r}
2x-3y=13 \\
4x+5y=-7
\end{array}\right. $     (2)   $ \left\{\begin{array}{r}
5x+y=3 \\
3x+2y=2
\end{array}\right. $     (3)   $ \left\{\begin{array}{r}
4x-2y=1 \\
3x-y=2
\end{array}\right. $     (4)   $ \left\{\begin{array}{r}
2x+3y=9 \\
-3x+5y=-23
\end{array}\right. $
    (5)   $ \left\{\begin{array}{r}
3x+2y=1 \\
2x-3y=18
\end{array}\right. $     (6)   $ \left\{\begin{array}{r}
0.7x+0.6y=50 \\
0.3x+0.4y=30
\end{array}\right. $     (7)   $ \left\{\begin{array}{r}
\frac{4}{5}x-\frac{3}{5}y=1 \\
\frac{3}{5}x+\frac{4}{5}y=2
\end{array}\right. $     (8)   $ \left\{\begin{array}{r}
\sqrt{3}x-y=1 \\
x+\sqrt{3}y=\sqrt{3}
\end{array}\right. $
    (9)   $ \left\{\begin{array}{r}
(\cos\alpha)x-(\sin\alpha)y=\cos\beta \\
(\sin\alpha)x+(\cos\alpha)y=\sin\beta
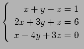
\end{array}\right. $     (10)   $ \left\{\begin{array}{r}
2x+3y+z=7 \\
x+y-z=4 \\
3x+y-z=6
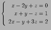
\end{array}\right. $     (11)   $ \left\{\begin{array}{r}
x+y-z=1 \\
2x+3y+z=6 \\
x-4y+3z=0
\end{array}\right. $
    (12)   $ \left\{\begin{array}{r}
x+y+z=6 \\
3x+2y-2z=1 \\
2x-y+3z=9
\end{array}\right. $     (13)   $ \left\{\begin{array}{r}
x-y+2z=8 \\
2x+3y+z=5 \\
-x+4y+4z=1
\end{array}\right. $     (14)   $ \left\{\begin{array}{r}
2x-y+3z=8 \\
-3x+2y+4z=-4 \\
-2x-y-2z=-5
\end{array}\right. $
    (15)   $ \left\{\begin{array}{r}
x-2y+z=0 \\
x+y-z=1 \\
2x-y+3z=2
\end{array}\right. $     (16)   $ \left\{\begin{array}{r}
2x-y-z=3 \\
3x+y+5z=5 \\
x+y+3z=2
\end{array}\right. $     (17)   $ \left\{\begin{array}{r}
-3x-y+z=5 \\
2x+y=-3 \\
-5x-y+z=9
\end{array}\right. $
    (18)   $ \left\{\begin{array}{r}
x-y=-4 \\
2x-3y+z=-3 \\
x+y-5z=12
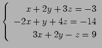
\end{array}\right. $     (19)   $ \left\{\begin{array}{r}
x+2y+3z=-3 \\
-2x+y+4z=-14 \\
3x+2y-z=9
\end{array}\right. $     (20)   $ \left\{\begin{array}{r}
2x-y+z-u=4 \\
x-y-z+u=5 \\
-2x+2y+z+2u=-4 \\
-x+y-z+3u=3
\end{array}\right. $
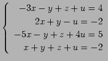
    (21)   $ \left\{\begin{array}{r}
-3x-y+z+u=4 \\
2x+y-u=-2 \\
-5x-y+z+4u=5 \\
x+y+z+u=-2
\end{array}\right. $     (22)   $ \left\{\begin{array}{r}
x+z+2u=6 \\
-2x+y+4z+u=3 \\
4x-3y-4z+u=-3 \\
-x+y+2z+u=4
\end{array}\right. $

4.120 (クラメルの公式)   次の方程式が一意な解をもつための条件とそのときの解を定めよ.
    (1)   $ \begin{bmatrix}
a\! & \!0\! & \!b \\ [-0.5ex] b\! & \!a\! & \!0 \\ [-0.5ex] b\...
...x] z
\end{bmatrix}=
\begin{bmatrix}
b \\ [-0.5ex] 1 \\ [-0.5ex] a
\end{bmatrix}$     (2)   $ \begin{bmatrix}
1\! & \!1\! & \!1 \\ [-0.5ex] a\! & \!b\! & \!c \\ [-0.5ex] a^...
...x] z
\end{bmatrix}=
\begin{bmatrix}
0 \\ [-0.5ex] 1 \\ [-0.5ex] 0
\end{bmatrix}$     (3)   $ \begin{bmatrix}
0\! & \!a\! & \!1 \\ [-0.5ex] 1\! & \!0\! & \!c \\ [-0.5ex] b\...
...x] z
\end{bmatrix}=
\begin{bmatrix}
a \\ [-0.5ex] b \\ [-0.5ex] c
\end{bmatrix}$
    (4)   $ \begin{bmatrix}
1\! & \!1\! & \!1 \\ [-0.5ex] a\! & \!1\! & \!a \\ [-0.5ex] b\...
...] z
\end{bmatrix}=
\begin{bmatrix}
1 \\ [-0.5ex] 0 \\ [-0.5ex] -1
\end{bmatrix}$

Kondo Koichi KONDO Koichi
平成19年1月25日