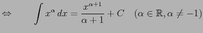
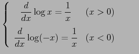
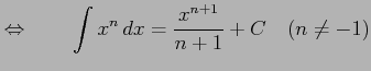
次: 6.4 置換積分法 上: 6 積分法 前: 6.2 不定積分の性質 6.3 不定積分の基本的な計算 例 6.5 (不定積分の計算例) 次: 6.4 置換積分法 上: 6 積分法 前: 6.2 不定積分の性質 平成22年6月17日
平成22年6月17日