6.4 置換積分法
定理 6.6 (置換積分法) 積分変数をと変換すると
となる. また逆にとおくと,
となる. この積分の方法を 置換積分法(integration by substitution)という.
(証明)関数を
の原始関数とする. 変数
を
と変数変換する. このとき
は 合成関数の微分則より
となる.両辺をで積分すると
を得る.左辺は
であるから証明終了.
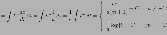
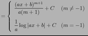
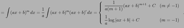
例 6.7 (置換積分の使用例) 不定積分
を計算する.まず
と変数変換する.このとき両辺をで微分すると
であるので
を得る.これより置換積分法を用いると不定積分は
となる.変数を
に戻すと
を得る.置換積分は慣れてくれば変数変換を省略して計算をする. 次のように式変形を行なう:
例 6.8 (置換積分の使用例)
ここで,とおき,
,
を用いた.
例 6.9 (置換積分の使用例)
ここで,とおき,
,
を用いた.
例 6.10 (置換積分の使用例)
ここで,とおき,
,
を用いた.
例 6.11 (置換積分の使用例)
ここで,とおき,
,
を用いた.
例 6.12 (置換積分の使用例)
ここで,とおき,
,
を用いた.
例 6.13 (置換積分の使用例)
ここで,とおき,
を用いて積分し,
を用いて変形した.
例 6.14 (置換積分の使用例)
これで不定積分は得られたが他の表現も考える. 逆双曲線関数は
とも表される.これを用いると不定積分は
となる.またこれを変形すると
となる.は任意の定数なので
をあらためて
と おき直すと
を得る. 以上得られた結果は 任意定数分の不定性を除けば全て同じ不定積分である.
注意 6.15 (不定積分の関数の表現) 不定積分は計算の方法により得られる結果が一見すると 違うときがある. これは不定積分が任意定数の不定性をもつためである. 注意が必用である.
例 6.16 (置換積分の使用例)
ここで,とおき,
,
を用いた.
例 6.17 (置換積分の使用例)
例 6.18 (置換積分の使用例)
例 6.19 (置換積分の計算例)
例 6.20 (置換積分の計算例)
例 6.21 (置換積分の計算例)
ここで,とおき,
,
を用いた.
例 6.22 (置換積分の計算例)
ここで,とおき,
,
を用いた.
例 6.23 (置換積分の計算例)
ここで,,
とおき,
を用いた.
平成22年6月17日