2.2 極限

定義 2.8 (極限)   関数 $ f(x,y)$ において, 定義域内の点 $ P(x,y)$ を点 $ A(a,b)$ に近づけるとする. ただし $ (x,y)\neq(a,b)$ とする. このとき, 近づけ方に依らず $ f(x,y)$ が同じ 1 つの値 $ c$ に近づくならば, $ f(x,y)$極限(limit) $ c$ が存在する, または, $ f(x,y)$$ c$収束する(convergent) といい,

  $\displaystyle \lim_{(x,y)\to(a,b)}f(x,y)=c,$   $\displaystyle \lim_{x\to a,y\to b}f(x,y)=c,$    
  $\displaystyle \lim_{P\to A}f(x,y)=c,$   $\displaystyle f(x,y)\to c\quad(x\to a,y\to b)$    

と表記する.

注意 2.9 (極限)   $ A\in D$ とは限らない.

注意 2.10 (極限)   近づけ方によって,$ f(x,y)$ の値が異なるときは,極限が存在しない.

2.11 (極限)   関数

$\displaystyle f(x,y)= \frac{x^2}{x^2+y^2}, \qquad D=\left\{\left.\,{(x,y)}\,\,\right\vert\,\,{(x,y)\neq (0,0)}\,\right\}$    

の原点 $ (0,0)$ への極限を考える. $ (0,0)\notin D$ であることに注意する.

(a) $ x$ 軸($ y=0$ の直線)に沿って近づける場合. $ y=0$ を代入した後に $ x\to 0$ の極限を考える. このとき,

$\displaystyle \lim_{y=0,x\to0}f(x,y)= \lim_{x\to0}f(x,0)= \lim_{x\to0}\frac{x^2}{x^2+0}= \lim_{x\to0}1=1$    

が成り立つ.

(b) $ y$ 軸($ x=0$ の直線)に沿って近づける場合. $ x=0$ を代入した後に $ y\to 0$ の極限を考える. このとき,

$\displaystyle \lim_{x=0,y\to0}f(x,y)= \lim_{y\to0}f(0,y)= \lim_{y\to0}\frac{0}{0+y^2}= \lim_{y\to0}0=0$    

が成り立つ.

(c) 直線 $ y=mx$ に沿って近づける場合. ただし,$ m$ は任意の実数とする. $ y=mx$ を代入した後に $ x\to 0$ の極限を考える. このとき,

$\displaystyle \lim_{y=mx,x\to0}f(x,y)= \lim_{x\to0}f(x,mx)= \lim_{x\to0}\frac{x^2}{x^2+m^2x^2}= \lim_{x\to0}\frac{1}{1+m^2} =\frac{1}{1+m^2}$    

が成り立つ.

(a), (b), (c)より, 近づけ方が異なれば $ f(x,y)$ が近づく値も変わるので, 極限 $ \displaystyle{\lim_{(x,y)\to(0,0)}\frac{x^2}{x^2+y^2}}$ は存在しない.

2.12 (極限)   関数

$\displaystyle f(x,y)= \frac{\sin(x+y)}{x+y}, \qquad D=\left\{\left.\,{(x,y)}\,\,\right\vert\,\,{x+y\neq0}\,\right\}$    

の原点 $ (0,0)$ への極限を考える. $ x+y\neq 0$ であることに注意する. (a) $ y$ 軸($ x=0$ の直線)に沿って近づける場合. $ x=0$ を代入した後に $ y\to 0$ の極限を考える. このとき,

$\displaystyle \lim_{x=0,y\to0}f(x,y)= \lim_{y\to0}f(0,y)= \lim_{y\to0}\frac{\sin y}{y}=1$    

が成り立つ. (b) 直線 $ y=mx$ に沿って近づける場合. ただし,$ m$$ m\neq -1$ の任意の実数とする. $ y=mx$ を代入した後に $ x\to 0$ の極限を考える. このとき,

$\displaystyle \lim_{y=mx,x\to0}f(x,y)= \lim_{x\to0}f(x,mx)= \lim_{x\to0}\frac{\sin(x+mx)}{x+mx}= \lim_{\xi\to0}\frac{\sin\xi}{\xi}=1$    

が成り立つ. ここで, $ \xi=(1+m)x$ とおいた. (a), (b), より, 全方向から近づけたとき同じ値 $ 1$ に収束するので, 極限

$\displaystyle \lim_{(x,y)\to(0,0)}\frac{\sin(x+y)}{x+y} =1$    

が存在する.

2.13 (極限)   関数

$\displaystyle f(x,y)= \frac{x^3+y^3}{x^2+y^2}, \qquad D=\left\{\left.\,{(x,y)}\,\,\right\vert\,\,{(x,y)\neq (0,0)}\,\right\}$    

の原点 $ (0,0)$ への極限を考える. 全方向から近づけるために,

$\displaystyle x=r\cos\theta, \quad y=r\sin\theta$    

とおき,$ r\to0$ の極限を考える. ただし,$ \theta$ $ 0\leq\theta<2\pi$ の 任意の実数とする. このとき,

$\displaystyle \lim_{(x,y)\to(0,0)}f(x,y)= \lim_{r\to0}f(r\cos\theta,r\sin\theta...
...r^2\cos^2\theta+r^2\sin^2\theta} = \lim_{r\to0} r(\cos^3\theta+\sin^3\theta) =0$    

となり, 極限

$\displaystyle \lim_{(x,y)\to(0,0)} \frac{x^3+y^3}{x^2+y^2} =0$    

が存在する.

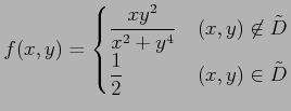
2.14 (極限)   関数 $ \displaystyle{f(x,y)=\frac{xy^2}{x^2+y^4}}$ を考える. この関数の定義域は一見すると $ D=\left\{\left.\,{(x,y)}\,\,\right\vert\,\,{(x,y)\neq(0,0)}\,\right\}$ と見える. しかし,$ x=y^2$ のときを考えると,

$\displaystyle f(y^2,y)=\frac{y^2y^2}{(y^2)^2+y^4}= \frac{y^4}{y^4+y^4}= \frac{y^4}{2y^4}=\frac{1}{2}$    

となる.よって,この関数は正しくは,

  $\displaystyle f(x,y)= \begin{cases}\displaystyle{\frac{xy^2}{x^2+y^4}} & (x,y)\...
...in\tilde{D} \\ [1ex] \displaystyle{\frac{1}{2}} & (x,y)\in\tilde{D} \end{cases}$    

となる.ただし, $ \tilde{D}=\left\{\left.\,{(x,y)}\,\,\right\vert\,\,{x=y^2}\,\right\}$ である. 定義域は $ xy$ 平面全体となる. 原点への極限は $ (x,y)$ が領域 $ \tilde{D}$ の中にないときは,

$\displaystyle \lim_{(x,y)\to(0,0)}\frac{xy^2}{x^2+y^4}= \lim_{r\to0}\frac{r^3\c...
...a)}= \lim_{r\to0}\frac{r\cos\theta\sin^2\theta}{\cos^2\theta+r^2\sin^4\theta}=0$    

と極限が存在する. しかし, $ (x,y)\in\tilde{D}$ に対して常に $ f(x,y)=\displaystyle{\frac{1}{2}}$ であり, 原点の近傍でもこれが成り立つ. よって,原点への極限は存在しない.


平成21年12月2日