2.3 連続性

定義 2.15 (連続)   関数 $ z=f(x,y)$ は次の条件(i), (ii), (iii)をみたすとき 点 $ (a,b)$連続(continuous)であるという.
(i).
$ f(a,b)$ が定義されている.
(ii).
極限 $ \displaystyle{\lim_{(x,y)\to(a,b)}f(x,y)}$ が存在する.
(iii).
$ \displaystyle{\lim_{(x,y)\to(a,b)}f(x,y)=f(a,b)}$ が成り立つ.

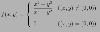
2.16 (連続の具体例)   関数

$\displaystyle f(x,y)= \left\{ \begin{array}{ll} \displaystyle{\frac{x^3+y^3}{x^2+y^2}} & ((x,y)\neq(0,0)) \\ [3ex] 0 & ((x,y)=(0,0)) \end{array} \right.$    

は原点 $ (0,0)$ で連続であるか調べる. (i) $ f(0,0)=0$ と定義されている. (ii) 前述の例題により,極限

$\displaystyle \lim_{(x,y)\to(0,0)} \frac{x^3+y^3}{x^2+y^2} =0$    

が存在する. (iii)    (i), (ii) より

$\displaystyle \lim_{(x,y)\to(0,0)}\frac{x^3+y^3}{x^2+y^2}=f(0,0)$    

が成り立つ. 以上,(i), (ii), (iii)より 関数 $ f(x,y)$ は原点 $ (0,0)$ で連続である.

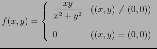
2.17 (不連続の具体例)   関数

$\displaystyle f(x,y)= \left\{ \begin{array}{ll} \displaystyle{\frac{xy}{x^2+y^2}} & ((x,y)\neq(0,0)) \\ [3ex] 0 & ((x,y)=(0,0)) \end{array} \right.$    

は原点 $ (0,0)$ で連続であるか調べる. まず,極限が存在するか調べる. 直線 $ y=mx$ に沿って近づけると,

$\displaystyle \lim_{y=mx,x\to 0}f(x,y)= \lim_{x\to 0}f(x,mx)= \lim_{x\to 0}\frac{mx^2}{x^2+m^2x^2}= \lim_{x\to 0}\frac{m}{1+m^2}= \frac{m}{1+m^2}$    

となる. 直線の傾き $ m$ が異なれば, 収束する値 $ \displaystyle{\frac{m}{1+m^2}}$ も異なる. よって $ (x,y)\to(0,0)$ における極限は存在しない. 極限が存在しないので,原点 $ (0,0)$$ f(x,y)$ は連続ではない.

2.18 (不連続の具体例)   関数

$\displaystyle f(x,y)=\frac{\sin(x+y)}{x+y} \qquad D=\left\{\left.\,{(x,y)}\,\,\right\vert\,\,{x+y\neq0}\,\right\}$    

は原点 $ (0,0)$ で連続であるか考える. まず, 前述の例題により,極限

$\displaystyle \lim_{(x,y)\to(0,0)}\frac{\sin(x+y)}{x+y} =1$    

が存在する. しかし,原点で値 $ f(0,0)$ が定義されていない. よって関数 $ f(x,y)$ は原点 $ (0,0)$ で不連続である.

注意 2.19 (除きうる不連続点)   関数

$\displaystyle f(x,y)=\frac{\sin(x+y)}{x+y}$    

は原点で不連続である. しかし,不連続点 $ (0,0)$ において

$\displaystyle f(0,0)=1$    

と定義する. すると,関数 $ f(x,y)$

$\displaystyle \lim_{(x,y)\to(0,0)}f(x,y)=f(0,0)=1$    

をみたし,原点 $ (0,0)$ で連続となる. このように定義を加えることで連続となる 不連続点のことを 除きうる不連続点(removable discontinuity)という.


平成21年12月2日