3.8 多重積分の置換積分

注意 3.45 (定積分の置換積分)   定積分において積分変数を $ x=\phi(t)$ と置き換えると

$\displaystyle \int_a^bf(x)\,dx= \int_{\alpha}^{\beta}f(x)\frac{dx}{dt}dt= \int_{\alpha}^{\beta}f(\phi(t))\phi'(t)\,dt$    

となる. ただし, $ \alpha=\phi^{-1}(a)$, $ \beta=\phi^{-1}(b)$ である.

定理 3.46 (多重積分の置換積分)   多重積分

$\displaystyle \iint_{D}f(x,y)\,dxdy$    

において積分変数を $ x=\phi(u,v)$, $ y=\psi(u,v)$ と置き換える. このとき,

$\displaystyle \iint_{D}f(x,y)\,dxdy= \iint_{E}f(\phi(u,v),\psi(u,v)) \left\vert\frac{\partial(x,y)}{\partial(u,v)}\right\vert\,dudv$    

となる.ただし, $ \displaystyle{\frac{\partial (x,y)}{\partial (u,v)}}$ヤコビアン

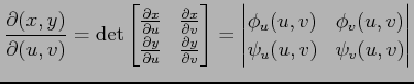
$\displaystyle \frac{\partial(x,y)}{\partial(u,v)}= \det \begin{bmatrix}\frac{\p...
...in{vmatrix}\phi_u(u,v) & \phi_v(u,v) \\ \psi_u(u,v) & \psi_v(u,v) \end{vmatrix}$    

であり,$ E$$ (u,v)$ の領域

$\displaystyle E=\left\{\left.\,{(u,v)}\,\,\right\vert\,\,{x=\phi(u,v),y=\psi(u,v),\,\forall(u,v)\in D}\,\right\}$    

である.


(証明)     $ xy$ 座標の点 $ (x,y)$, $ (x+\Delta x,y+\Delta y)$ は 標準基底 $ \vec{e}_x$, $ \vec{e}_y$ を用いて,

$\displaystyle \begin{bmatrix}x \\ y \end{bmatrix}= x\vec{e}_x+y\vec{e}_y, \quad...
...trix}1 \\ 0 \end{bmatrix}, \quad \vec{e}_y= \begin{bmatrix}0 \\ 1 \end{bmatrix}$    

と表される. $ uv$ 座標に座標変換すると,

  $\displaystyle x=\phi(u,v), \quad y=\psi(u,v), \quad x+\Delta x=\phi(u+\Delta u,v+\Delta v), \quad y+\Delta y=\psi(u+\Delta u,v+\Delta v)$    

とおける. このとき,$ \Delta x$, $ \Delta y$ は十分小さいとすると, $ \Delta u$, $ \Delta v$ も十分小さいので, テイラー展開して

  $\displaystyle x+\Delta x=\phi(u,v)+\phi_u(u,v)\Delta u+\phi_v(u,v)\Delta v+\cdots,$    
  $\displaystyle y+\Delta y=\psi(u,v)+\psi_u(u,v)\Delta u+\psi_v(u,v)\Delta v+\cdots$    

と書ける. $ x=\phi(u,v)$, $ y=\psi(u,v)$ であることに注意すると

$\displaystyle \Delta x\vec{e}_x+\Delta y\vec{e}_y= \begin{bmatrix}\Delta x \\ \...
...\ \psi_v(u,v) \end{bmatrix}+\cdots = \Delta u\vec{e}_u+\Delta v\vec{e}_v+\cdots$    

が成り立つ. ここで,ベクトル

$\displaystyle \vec{e}_u= \begin{bmatrix}\phi_u(u,v) \\ \psi_u(u,v) \end{bmatrix}, \qquad \vec{e}_v= \begin{bmatrix}\phi_v(u,v) \\ \psi_v(u,v) \end{bmatrix}$    

は点 $ (u,v)$ における $ uv$ 座標の基底となる.

頂点が $ A(x,y)$, $ B(x+\Delta x,y)$, $ C(x,y+\Delta y)$, $ D(x+\Delta x,y+\Delta y)$ からなる長方形の微小領域の面積は $ \Delta S=\Delta x\Delta y$ である. 一方,$ uv$ 座標において頂点が $ A'(u,v)$, $ B'(u+\Delta u,v)$, $ C'(u,v+\Delta v)$, $ D'(u+\Delta u,v+\Delta v)$ からなる領域は平行四辺形である. 平行四辺形 $ A'B'C'D'$ の面積は, $ \overrightarrow{A'B'}=\Delta u\vec{e}_u$, $ \overrightarrow{A'C'}=\Delta v\vec{e}_v$ より,

$\displaystyle \Delta S= \mathrm{abs}\left(\det \begin{bmatrix}\Delta u\vec{e}_u...
... \mathrm{abs}\left( \frac{\partial(x,y)}{\partial(u,v)}\right) \Delta u\Delta v$    

となる. 極限 $ \Delta x$, $ \Delta y\to 0$ においてもこれが成り立つので,

$\displaystyle dS=dxdy=\mathrm{abs}\left( \frac{\partial(x,y)}{\partial(u,v)}\right) dudv$    

を得る.

注意 3.47 (置換積分)   1 変数関数の定積分では $ dx=\phi'(t)dt$ に絶対値はつかない. これは積分区間 $ [a,b]$ に向きを考えているためである. 例えば,$ a>b$ のとき定積分の値の符合は反転される. 多重積分では, $ dxdy=\vert\frac{\partial(x,y)}{\partial(u,v)}\vert dudv$ に 絶対値がつく. これは面積要素に向きを考えないためである.

\includegraphics[width=0.5\textwidth]{chikan-th-xy.eps} \includegraphics[width=0.4\textwidth]{chikan-th-uv.eps}
(a) $ xy$ 座標 (b) $ uv$ 座標


平成21年12月2日