3.9 斜交座標への置換積分

3.48 (多重積分の変数変換)   多重積分

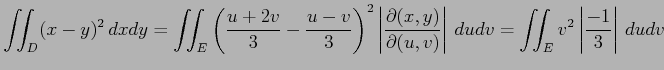
$\displaystyle \iint_{D}(x-y)^2\,dxdy,\qquad D=\left\{\left.\,{(x,y)}\,\,\right\vert\,\,{\vert x+2y\vert\leq1,\,\vert x-y\vert\leq 1}\,\right\}$    

を求める. 積分変数を

$\displaystyle u=x+2y,\qquad v=x-y$    

とおく.この逆は

$\displaystyle x=\frac{u+2v}{3}, \qquad y=\frac{u-v}{3}$    

である. このとき領域 $ D$$ (u,v)$ で表すと

$\displaystyle E=\left\{\left.\,{(u,v)}\,\,\right\vert\,\,{\vert u\vert\leq 1,\,\,\vert v\vert\leq 1}\,\right\}$    

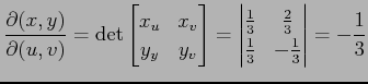
となる. 座標変換 $ (x,y)\mapsto(u,v)$ のヤコビアンは

$\displaystyle \frac{\partial(x,y)}{\partial(u,v)}= \det \begin{bmatrix}x_u & x_...
...{1}{3} & \frac{2}{3} \\ \frac{1}{3} & -\frac{1}{3} \end{vmatrix} = -\frac{1}{3}$    

である.これらより,

  $\displaystyle \iint_D(x-y)^2\,dxdy= \iint_E \left(\frac{u+2v}{3}-\frac{u-v}{3}\...
...tial(u,v)}\right\vert\,dudv = \iint_Ev^2\left\vert\frac{-1}{3}\right\vert\,dudv$    
  $\displaystyle = \frac{1}{3}\iint_Ev^2\,dudv = \frac{1}{3} \int_{-1}^{1}v^2\,dv\...
...ht) = \frac{4}{3} \left(\int_{0}^{1}v^2\,dv\right)\left(\int_{0}^{1}\,du\right)$    
  $\displaystyle = \frac{4}{3} \left[\vrule height1.5em width0em depth0.1em\,{\fra...
...times\left[\vrule height1.5em width0em depth0.1em\,{u}\,\right]_0^1=\frac{4}{9}$    

を得る.

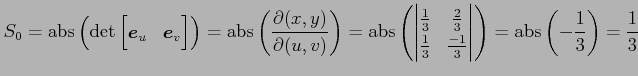
注意 3.49 (面素)   置換積分により面素は $ dS=dxdy=\frac{1}{3}dudv$ と変換される. 直交座標 $ xy$ では微小面積は, 辺の長さが $ dx$, $ dy$ の長方形の面積 $ dS=dxdy$ である. これに対して斜交座標 $ uv$ の微小面積は, 辺の長さが $ du$, $ dv$ の平行四辺形の面積 $ dS=\frac{1}{3}dudv$ である. これを示す. $ uv$ 座標の基底は

$\displaystyle \vec{e}_u= \begin{bmatrix}x_u \\ y_u \end{bmatrix} = \frac{1}{3} ...
...rix}x_v \\ y_v \end{bmatrix} = \frac{1}{3} \begin{bmatrix}2 \\ -1 \end{bmatrix}$    

であり, 点 $ O$, $ A(\vec{e}_u)$, $ B(\vec{e}_v)$, $ C(\vec{e}_u+\vec{e}_v)$ から なる平行四辺形の面積は

$\displaystyle S_0= \mathrm{abs}\left(\det \begin{bmatrix}\vec{e}_u & \vec{e}_v ...
...-1}{3} \end{vmatrix}\right)= \mathrm{abs}\left(-\frac{1}{3}\right)= \frac{1}{3}$    

である. ここで $ \mathrm{abs}(x)=\vert x\vert$ とおいた. 面素 $ dudv$ は辺の長さが $ du$, $ dv$ で 平行四辺形 $ OABC$ と相似な図形であるから, 面素 $ dudv$ の面積 $ dS$

$\displaystyle dS=S_0\,dudv=\frac{1}{3}\,dudv$    

と得られる.

3.50 (多重積分の変数変換)   領域 $ D$ を下図 (b) のように 4 つに分割し多重積分を求めよ.

\includegraphics[width=0.4\textwidth]{chikan-shakou-D.eps} \includegraphics[width=0.4\textwidth]{chikan-shakou-Dx.eps}
(a) 領域 $ D$ (b) 領域 $ D$ の分割
\includegraphics[width=0.4\textwidth]{chikan-shakou-uv.eps} \includegraphics[width=0.4\textwidth]{chikan-shakou-E.eps}
(c) $ uv$ 座標 (d) 領域 $ E$
\includegraphics[width=0.4\textwidth]{chikan-shakou-I.eps} \includegraphics[width=0.4\textwidth]{chikan-shakou-Iuv.eps}
(e) $ xy$ 座標での $ I$ (f) $ uv$ 座標での $ I$


平成21年12月2日